Đăng nhập để hỏi chi tiết


Hãy luôn nhớ cảm ơn và vote 5*
nếu câu trả lời hữu ích nhé!

Giải thích các bước giải:
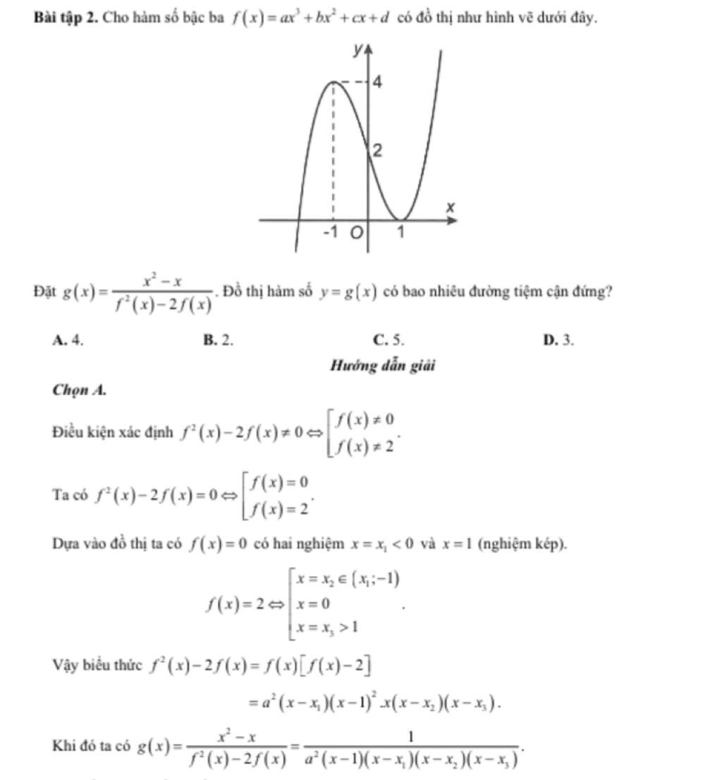
Từ đồ thị $\to y=f(x)$ cắt $Ox$ tại $x_1, $ và tiếp xúc với $Ox$ tại $x=1$
$\to f(x)=a(x-x_1)(x-1)^2$
Vì $f(x)=2$ có nghiệm $x=x_2, x=0, x=x_3$
$\to f(x)-2=a(x-x_2)(x-0)(x-x_3)=ax(x-x_2)(x-x_3)$
Ta có:
$f^2(x)-2f(x)=f(x)(f(x)-2)=a(x-x_1)(x-1)^2\cdot ax(x-x_2)(x-x_3)$
$\to f^2(x)-2f(x)=a^2(x-x_1)(x-1)^2\cdot x(x-x_2)(x-x_3)$
Hãy giúp mọi người biết câu trả lời này thế nào?
![]()
Bảng tin