

cuuuuuuuuuuuuuuu!!!!!!!!!!!
Hãy luôn nhớ cảm ơn và vote 5*
nếu câu trả lời hữu ích nhé!
Đáp án:
Giải thích các bước giải:
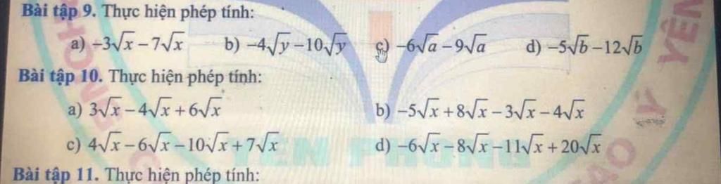
Bài `9`
`a`
`-3sqrtx - 7sqrtx = (-3-7)sqrtx =-10sqrtx`
`b`
`-4sqrty- 10sqrty = (-4-10)sqrty = -14sqrty`
`c`
`-6sqrta - 9sqrta = (-6-9)sqrta = -15sqrta`
`d`
`-5sqrtb - 12sqrtb = (-5-12)sqrtb = -17sqrtb`
Bài `10`
`a`
`3sqrtx -4sqrtx+6sqrtx`
`=(3-4+6)sqrtx = 5sqrtx`
`b`
`-5sqrtx+8sqrtx-3sqrtx-4sqrtx`
`=(-5+8-3-4)sqrtx=-4sqrtx`
`c`
`4sqrtx-6sqrtx-10sqrtx+7sqrtx`
`=(4-6-10+7)sqrtx`
`=-5sqrtx`
`d`
`-6sqrtx-8sqrtx-11sqrtx+20sqrtx`
`=(-6-8-11+20)sqrtx`
`=-5sqrtx`
Hãy giúp mọi người biết câu trả lời này thế nào?

`9. `
`a)-3\sqrt{x}-7\sqrt{x}=-10\sqrt{x} `
`b)-4\sqrt{y}-10\sqrt{y}=-14\sqrt{y} `
`c)-6\sqrt{a}-9\sqrt{a}=-15\sqrt{a} `
`d)-5\sqrt{b}-12\sqrt{b}=-17\sqrt{b} `
`10. `
`a)3\sqrt{x}-4\sqrt{x}+6\sqrt{x} `
`=(3-4+6)\sqrt{x} `
`=5\sqrt{x} `
`b)-5\sqrt{x}+8\sqrt{x}-3\sqrt{x}-4\sqrt{x} `
`=(-5+8-3-4)\sqrt{x} `
`=-4\sqrt{x} `
`c)4\sqrt{x}-6\sqrt{x}-10\sqrt{x}+7\sqrt{x} `
`=(4-6-10+7)\sqrt{x} `
`=-5\sqrt{x} `
`d)-6\sqrt{x}-8\sqrt{x}-11\sqrt{x}+20\sqrt{x} `
`=(-6-8-11+20)\sqrt{x} `
`=-5\sqrt{x} `
Hãy giúp mọi người biết câu trả lời này thế nào?

Bảng tin