

Hãy luôn nhớ cảm ơn và vote 5*
nếu câu trả lời hữu ích nhé!
Đáp án:
Giải thích các bước giải:
`n`
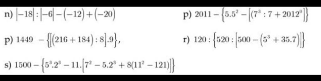
`|-18| : |-6| - (-12) + (-20)`
`=18 : 6 + 12 -20`
`=3 + 12 - 20`
`=15 -20`
`=-5`
`p`
`2011 - {5*5^2 - [(7^3 : 7 + 2012^0]}`
`=2011 - {125 - [7^2 +1]}`
`=2011 - {125 - 50}`
`=2011 - 75`
`=1936`
`p`
`1449 - {[(216 + 184):8] *9}`
`=1449 - 400 : 8 * 9`
`=1449 - 50*9`
`=1449 - 450`
`=999`
`r`
`120 : {520 : [500 - (5^3 + 35*7)]}`
`=120 : {520 : [500 - (125 +245)]}`
`=120 : {520 : [ 500 - 370]}`
`=120 : {520 : 130}`
`=120 : 4`
`=30`
`s`
`1500 - {5^3 . 2^3 -11 [ 7^2 - 5*2^3 + 8 (11^2 -121)]}`
`=1500 - {125.8 - 11 [49 - 5*8 +8 * 0]}`
`=1500 - {1000 - 11 [49 - 40]}`
`=1500 - (1000 -11 *9}`
`=1500 - 1000 + 99`
`=500 + 99`
`=599`
Hãy giúp mọi người biết câu trả lời này thế nào?
![]()
Đáp án `+` Giải thích các bước giải:
n) |-18| : |-6| - (-12) + (-20)
= 18 : 6 + 12 - 20
= 3 + 12 - 20
= 15 - 20
= -5.
p) `2011 - {5 . 5^2 - [(7^3 : 7 + 2012^0)]}`
`= 2011 - {5 . 25 - [(7^2 + 1)]}`
`= 2011 - {125 - [(49 + 1)]}`
`= 2011 - {125 - 50}`
`= 2011 - 75`
`= 1936.`
p) `1449 - {[(216 + 184) : 8] . 9}`
`= 1449 - {[400 : 8] . 9}`
`= 1449 - {50 . 9}`
`= 1449 - 450`
`= 999.`
r) `120 : {520 : [500 - (5^3 + 35 . 7)]}`
`= 120 : {520 : [500 - (125 + 245)]}`
`= 120 : {520 : [500 - 370]}`
`= 120 : {520 : 130}`
`= 120 : 4 = 30.`
s) `1500 - {5^3 . 2^3 - 11 . [7^2 - 5 . 2^3 + 8(11^2 - 121)]}`
`= 1500 - {125 . 8 - 11 . [49 - 5 . 8 + 8(121 - 121)]}`
`= 1500 - {1000 - 11 . [49 - 40 + 0]}`
`= 1500 - {1000 - 11 . 9}`
`= 1500 - 901`
`= 599.`
Hãy giúp mọi người biết câu trả lời này thế nào?
![]()
Bảng tin