Đăng nhập để hỏi chi tiết


Hãy luôn nhớ cảm ơn và vote 5*
nếu câu trả lời hữu ích nhé!
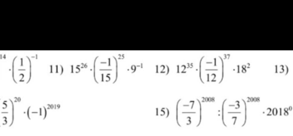
`11)`
`15^26·(-1/15)^25·9^(-1)`
`=15^26·(-15)^(-25)·9^(-1)`
`=-15^1·9^(-1)`
`=-15·1/9`
`=-5/3`
`12)`
`12^35·(-1/12)^37·18^2`
`=12^35·(-12)^(-37)·18^2`
`=-(12^(-2))·18^2`
`=-(1/12)^2·18^2`
`=-(1/12·18)^2`
`=-(3/2)^2`
`=-9/4`
Hãy giúp mọi người biết câu trả lời này thế nào?
Bảng tin
4983
78387
1763
câu `15` đề có thiếu ko chứ số to