

Hãy luôn nhớ cảm ơn và vote 5*
nếu câu trả lời hữu ích nhé!
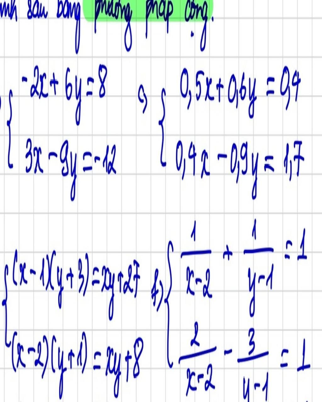
`f)`
`{(1/(x-2)+1/(y-1)=1),(2/(x-2)-3/(y-1)=1):} (đk:x\ne2;y\ne1)`
Đặt `1/(x-2)=A;1/(y-1)=B`, ta có:
`{(A+B=1 (1)),(2A-3B=1):}`
Nhân `(1)` với `2`, ta có:
`{(2A+2B=2),(2A-3B=1):}`
Trừ `2` pt theo vế, ta có:
`5B=1`
`B=1/5`
Thay `B=1/5` vào `(1)`, ta có:
`A+1/5=1`
`A=4/5`
Hpt ban đầu trở thành
`{(1/(x-2)=4/5),(1/(y-1)=1/5):}`
`{(x-2=5/4),(y-1=5):}`
`{(x=13/4),(y=6):} (TM)`
Vậy `(x;y)=(13/4;6)`
Hãy giúp mọi người biết câu trả lời này thế nào?

Đáp án:
`x=13/4;y=6`
Giải thích các bước giải:
$\begin{cases} \dfrac{1}{x-2} + \dfrac{1}{y-1} =1\\\dfrac{2}{x-2} - \dfrac{3}{y-1} =1 \end{cases}$ đk `x \ne 2 ; y \ne 1`
Đặt `1/(x-2) =a , 1/(y-1)=b`
Ta có hpt :
$\begin{cases} a + b =1\\2a - 3b =1 \end{cases}$
$\begin{cases} 2a + 2b =2\\2a - 3b =1 \end{cases}$
$\begin{cases} 5b =1\\a + b =1 \end{cases}$
$\begin{cases} b =\dfrac{1}{5}\\a + \dfrac{1}{5} =1 \end{cases}$
$\begin{cases} b =\dfrac{1}{5}\\a =\dfrac{4}{5} \end{cases}$
Suy ra :
$\begin{cases} \dfrac{1}{y-1}=\dfrac{1}{5}\\\dfrac{1}{x-2} =\dfrac{4}{5} \end{cases}$
$\begin{cases} y-1=5\\4(x-2) =5 \end{cases}$
$\begin{cases} y=6\\x-2 =\dfrac{5}{4} \end{cases}$
$\begin{cases} y=6 (tm)\\x =\dfrac{13}{4}(tm) \end{cases}$
Vậy hpt có nghiệm `(13/4;6)`
Hãy giúp mọi người biết câu trả lời này thế nào?

Bảng tin
24
26
8
Bạn ơi bạn có thể chụp màn hình bài của bạn đc k bên mình k thấy đc latex í
4983
78667
1764
rồi đấy, bạn xem đi
24
26
8
Cmon ạ