

Hãy luôn nhớ cảm ơn và vote 5*
nếu câu trả lời hữu ích nhé!
Đáp án`+`Giải thích các bước giải:
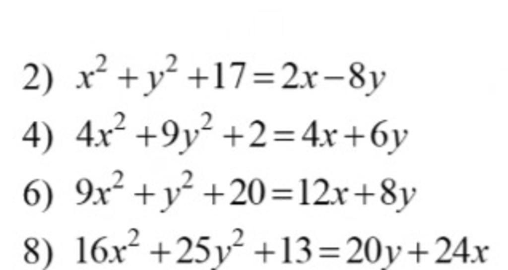
`2)` `x^2+y^2+17=2x-8y`
`->x^2-2x+y^2+8y+17=0`
`->(x^2-2x)+(y^2+8y)+17=0`
`->(x-1)^2-1+(y+4)^2-16+17=0`
`->(x-1)^2+(y+4)^2=0`
`->` $\begin{cases} x-1=0\\y+4=0 \end{cases}$
`->` $\begin{cases} x=1\\y=-4 \end{cases}$
Vậy `x=1;y=-4`
`4)` `4x^2+9y^2+2=4x+6y`
`->4x^2-4x+9y^2-6y+2=0`
`->4(x-1/2)^2-1+9(y-1/3)^2-1+2=0`
`->4(x-1/2)^2+9(y-1/3)^2=0`
`->` $\begin{cases} x-\dfrac{1}{2}=0\\y-\dfrac{1}{3}=0 \end{cases}$
`->` $\begin{cases} x=\dfrac{1}{2}\\y=\dfrac{1}{3} \end{cases}$
Vậy `x=1/2;y=1/3`
`6)` `9x^2+y^2+20=12x+8y`
`->9x^2-12x+y^2-8y+20=0`
`->9(x-2/3)^2-4+(y-4)^2-16+20=0`
`->9(x-2/3)^2+(y-4)^2=0`
`->`$\begin{cases} x-\dfrac{2}{3}=0\\y-4=0 \end{cases}$
`->` $\begin{cases} x=\dfrac{2}{3}\\y=4 \end{cases}$
Vậy `x=2/3;y=4`
`8)` `16x^2+25y^2+13=20y+24x`
`->16x^2-24x+25y^2-20y+13=0`
`->16(x-3/4)^2-9+25(y-2/5)^2-4+13=0`
`->16(x-3/4)^2+25(y-2/5)^2=0`
`->` $\begin{cases} x-\dfrac{3}{4}=0\\y-\dfrac{2}{5}=0 \end{cases}$
`->` $\begin{cases} x=\dfrac{3}{4}\\y=\dfrac{2}{5} \end{cases}$
Vậy `x=3/4;y=2/5`
Hãy giúp mọi người biết câu trả lời này thế nào?
Bảng tin