

Hãy luôn nhớ cảm ơn và vote 5*
nếu câu trả lời hữu ích nhé!
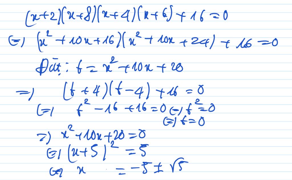
Đáp án`+`Giải thích các bước giải:
`(x+2)(x+4)(x+6)(x+8)+16=0`
`->[(x+2)(x+8)]*[(x+4)(x+6)]+16=0`
`->(x^2+10x+16)(x^2+10x+24)+16=0`
Đặt `a=x^2+10x`
`->(a+16)(a+24)+16=0`
`->a^2+40a+400=0`
`->(a+20)^2=0`
`->a+20=0`
`->a=-20`
`->x^2+10x=-20`
`->x^2+10x+20=0`
`->\Delta=10^2-4*1*20=20>0`
`=>` Phương trình có hai nghiệm phân biệt:
`x_1=(-10+\sqrt{\Delta})/(2)=(-10+\sqrt{20})/2=-5+\sqrt{5}`
`x_2=(-10-\sqrt{\Delta})/(2)=(-10-\sqrt{20})/2=-5-\sqrt{5}`
Vậy `x=-5+-\sqrt{5}` là nghiệm của PT
Hãy giúp mọi người biết câu trả lời này thế nào?
Bảng tin