

\(\frac{x^{2}-4x-8}{x^{2}-4}+\frac{x+1}{x+2}=\frac{x-5}{x-5}\)
Hãy luôn nhớ cảm ơn và vote 5*
nếu câu trả lời hữu ích nhé!
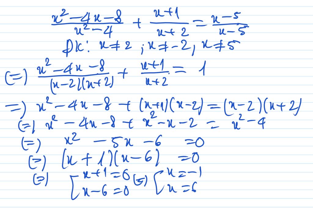
`(x^2 -4x -8)/(x^2 -4) +(x+1)/(x+2) =(x-5)/(x-5)`
Điều kiện: `x\ne 5 ; x\ne +-2`
`<=> (x^2 -4x-8)/((x+2).(x-2)) + (x+1)/(x+2) =1`
`<=> (x^2 -4x-8)/((x+2).(x-2)) + ((x+1).(x-2))/((x+2).(x-2)) = (x^2 -4)/((x+2).(x-2))`
`=> x^2 -4x -8 +(x+1).(x-2) = x^2-4`
`<=> x^2 -4x -8 +x^2 -2x+x -2 =x^2-4`
`<=> x^2 -5x -6=0`
`<=> x^2 -6x +x -6=0`
`<=> x(x-6)+(x-6)=0`
`<=> (x-6).(x+1)=0`
`<=> x=6(tm)` hoặc `x=-1(tm)`
Vậy `x=6; x=-1` là nghiệm của phương trình.
Hãy giúp mọi người biết câu trả lời này thế nào?

Bảng tin
1694
18367
1389
mod ơi mod cho e sửa đc ko ạ 7980708