Vui lòng chỉ chọn một câu hỏi
Hoidap247.com Nhanh chóng, chính xác
+
Danh mục mới
0
20
Giải bài này chi tiết đúng
Hãy luôn nhớ cảm ơn và vote 5* nếu câu trả lời hữu ích nhé!
2884
984
1956
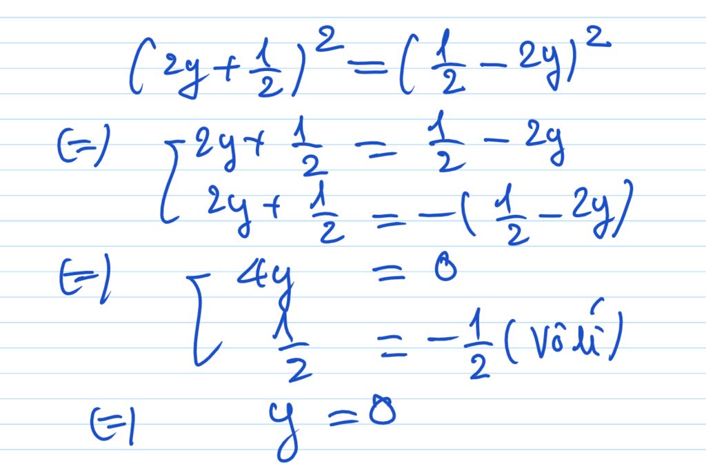
`4)` `(2y+1/2)^2 =(1/2 -2y)^2`
`(2y+1/2)^2 -(1/2 -2y)^2 =0`
`(2y+1/2 -1/2 +2y)(2y+1/2 +1/2 -2y)=0`
`4y=0`
`y=0`
Vậy `y=0`
Hãy giúp mọi người biết câu trả lời này thế nào?
Xem thêm:
8
220
4
Đáp án:
Giải thích các bước giải:
1261
14
952
nhg mik câu cậu đg trl đk ạ ^^
Bảng tin
Gửi yêu cầu Hủy