

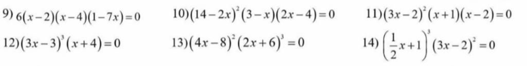
Bài 3 : Giải các phương trình sau : (Biến đổi phương trình về dạng tích $A_{(x)}$.$B_{(x)}$ = 0 )
Hãy luôn nhớ cảm ơn và vote 5*
nếu câu trả lời hữu ích nhé!
`9)`
`6(x-2)(x-4)(1-7x) = 0`
`TH1 :`
`x-2=0`
`x=2`
`TH2 :`
`x-4=0`
`x=4`
`TH3 :`
`1-7x=0`
`7x=1`
`x=1/7`
Vậy nghiệm của phương trình là `S = { 2;4;1/7}`
`10)`
`(14-2x)^2(3-x)(2x-4) =0`
`TH1 :`
`(14-2x)^2 = 0`
`14 - 2x=0`
`2x=14`
`x=7`
`TH2 :`
`3-x=0`
`x=3`
`TH3 :`
`2x-4=0`
`2x=4`
`x=2`
Vậy nghiệm của phương trình là `S = { 7;3;2}`
`11)` `(3x-2)^2(x+1)(x-2) = 0`
`TH1 :`
`(3x-2)^2=0`
`3x-2=0`
`3x=2`
`x=2/3`
`TH2 :`
`x+1=0`
`x=-1`
`TH3 :`
`x-2=0`
`x=2`
Vậy nghiệm của phương trình là `S = { 2/3;-1;2}`
`12)` `(3x-3)^3(x+4)= 0`
`TH1 :`
`(3x-3)^3=0`
`3x-3=0`
`3x=3`
`x=1`
`TH2 :`
`x+4=0`
`x=-4`
Vậy nghiệm của phương trình là `S = { 1;-4}`
`13)` `(4x-8)^2(2x+6)^3 =0`
`TH1 :`
`(4x-8)^2=0`
`4x-8=0`
`4x=8`
`x=2`
`TH2 :`
`(2x+6)^3=0`
`2x+6=0`
`2x=-6`
`x=-3`
Vậy nghiệm của phương trình là `S = { 2;-3}`
`14)` `(1/2x+1)^3(3x-2)^2=0`
`TH1 :`
`(1/2x+1)^3=0`
`1/2x +1=0`
`1/2x = -1`
`x = -2`
`TH2 :`
`(3x-2)^2=0`
`3x-2=0`
`3x=2`
`x=2/3`
Vậy nghiệm của phương trình là `S = { -2;2/3}`
Hãy giúp mọi người biết câu trả lời này thế nào?

Đáp án`+`Giải thích các bước giải:
`9, 6(x - 2)(x - 4)(1 - 7x) = 0`
`<=> (x - 2)(x - 4)(1 - 7x) = 0`
`<=>` $\left[\begin{matrix} x-2= 0\\ x-4=0\\1 - 7x = 0\end{matrix}\right.$
`<=>` $\left[\begin{matrix} x=2\\ x=4\\x = \dfrac{1}{7}\end{matrix}\right.$
Vậy `S= {2;4;1/7}`
`10, (14 - 2x)^2 (3 -x)(2x - 4) = 0`
`<=>` $\left[\begin{matrix} (14 - 2x)^2 = 0\\ 3 -x= 0\\2x - 4= 0\end{matrix}\right.$
`<=>` $\left[\begin{matrix} 14 - 2x= 0\\ x=3\\2x= 4\end{matrix}\right.$
`<=>` $\left[\begin{matrix} x=7\\ x=3\\x= 2\end{matrix}\right.$
Vậy `S= {7;2;3}`
`11, (3x - 2)^2 (x +1)(x - 2) = 0`
`<=>` $\left[\begin{matrix} (3x- 2)^2 = 0\\ x+1= 0\\x - 2=0\end{matrix}\right.$
`<=>` $\left[\begin{matrix} 3x - 2= 0\\ x=-1\\x = 2\end{matrix}\right.$
`<=>` $\left[\begin{matrix} x=\dfrac{2}{3}\\ x =-1\\x = 2\end{matrix}\right.$
Vậy `S= {2/3;-1;2}`
`12, (3x - 3)^3 (x + 4) = 0`
`<=>` $\left[\begin{matrix} (3x - 3)^3 = 0\\ x+4 = 0\end{matrix}\right.$
`<=>` $\left[\begin{matrix} 3x -3 =0\\ x=-4\end{matrix}\right.$
`<=>` $\left[\begin{matrix} x=1\\ x=-4\end{matrix}\right.$
Vậy `S = {1;-4}`
`13, (4x- 8)^2 ( 2x +6)^3= 0`
`<=>` $\left[\begin{matrix} (4x- 8)^2 = 0\\ (2x + 6)^3 = 0\end{matrix}\right.$
`<=>` $\left[\begin{matrix} 4x- 8 =0\\ 2x +6= 0\end{matrix}\right.$
`<=>` $\left[\begin{matrix} x=2\\ x=-3\end{matrix}\right.$
Vậy `S= {2;-3}`
`14, (1/2x + 1)^3 (3x - 2)^2 =0`
`<=>` $\left[\begin{matrix} (\dfrac{1}{2}x + 1)^3 = 0\\ (3x - 2)^2= 0\end{matrix}\right.$
`<=> `$\left[\begin{matrix} \dfrac{1}{2}x + 1= 0\\ 3x- 2= 0\end{matrix}\right.$
`<=>` $\left[\begin{matrix} x= -2\\ x=\dfrac{2}{3}\end{matrix}\right.$
Vậy `S= {-2;2/3}`
`***`sharksosad
Hãy giúp mọi người biết câu trả lời này thế nào?

Bảng tin