

Giải hệ phương trình bằng phương pháp thế
Hãy luôn nhớ cảm ơn và vote 5*
nếu câu trả lời hữu ích nhé!
Đáp án:
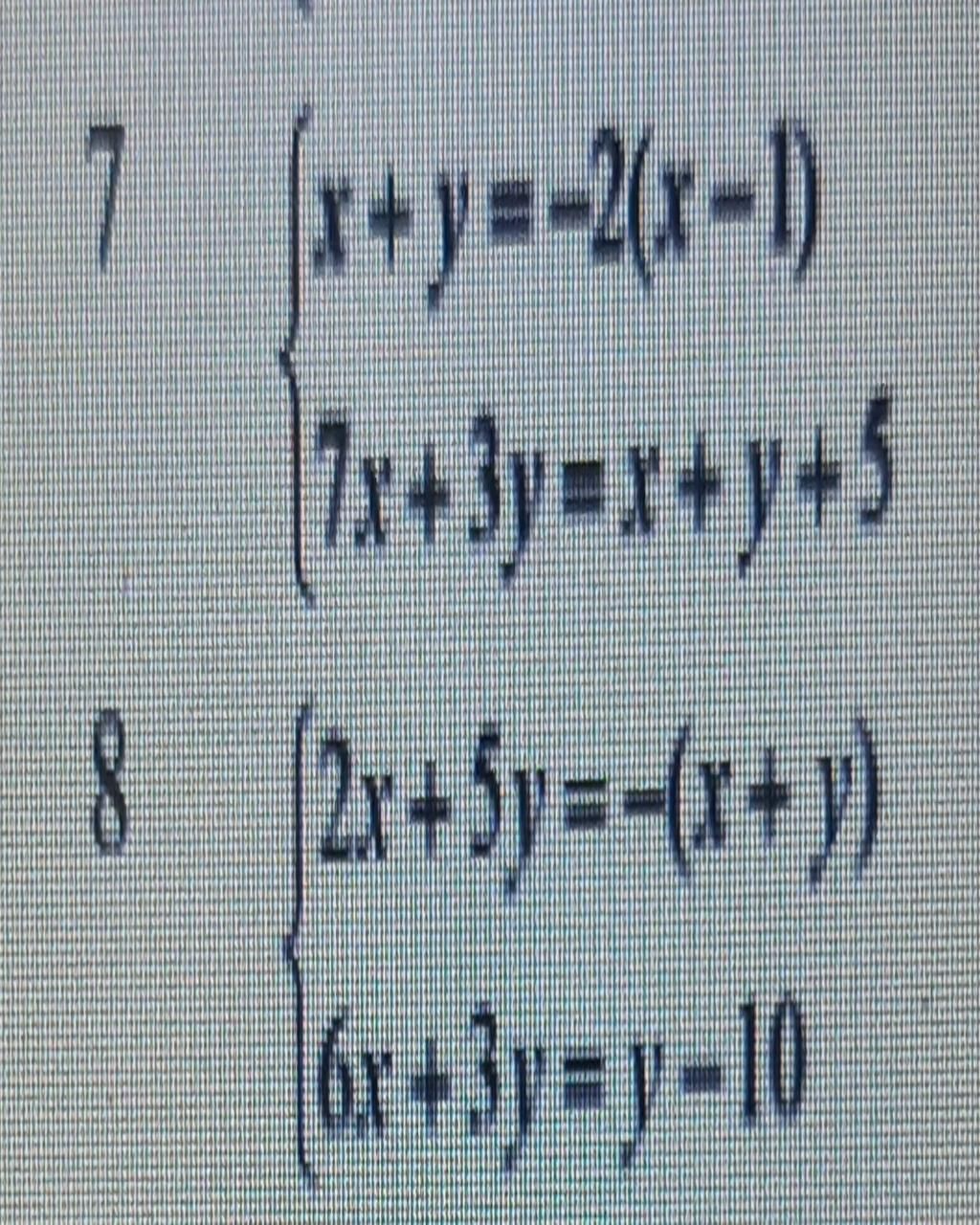
`7) {(x + y = -2(x - 1)),(7x + 3y = x + y + 5):}`
`<=> {(x + y + 2x = 2),(7x + 3y -x - y = 5):}`
`<=> {(3x + y = 2),(6x + 2y = 5):}`
`<=> {(y = 2 - 3x),(6x + 2 . (2 - 3x) = 5):}`
`<=> {(y = 2 - 3x),(6x + 4 - 6x = 5):}`
`<=> {(y = 2 - 3x),(0x = 1):}`
Vì pt `0x = 1` vô nghiệm
Nên hpt vô nghiệm
`8) {(2x + 5y = -(x + y)),(6x + 3y = y - 10):}`
`<=> {(2x + 5y + x + y = 0),(6x + 3y - y = -10):}`
`<=> {(3x + 6y = 0),(6x + 2y = -10):}`
`<=> {(3x + 6y = 0),(2(3x + y) = -10):}`
`<=> {(3x + 6y = 0),(3x + y = -5):}`
`<=> {(3x + 6y = 0),(y = -5 - 3x):}`
`<=> {(3x + 6 . (-5 - 3x) = 0),(y = -5 - 3x):}`
`<=> {(3x - 30 - 18x = 0),(y = -5 - 3x):}`
`<=> {(-15x = 30),(y = -5 - 3x):}`
`<=> {(x = -2),(y = -5 + 3 . 2):}`
`<=> {(x = -2),(y = 1):}`
Vậy hpt có nghiệm `(x ; y) = (-2 ; 1)`
Hãy giúp mọi người biết câu trả lời này thế nào?
Bảng tin
1894
32082
1146
câu 8 hnhu chị bị sai ở pt 2 ý ạ
5422
4077
3762
Ý lộn `x` thành `y`, cảm ơn nhaa.