

Hãy luôn nhớ cảm ơn và vote 5*
nếu câu trả lời hữu ích nhé!
Đáp án:
Giải thích các bước giải:
`1`
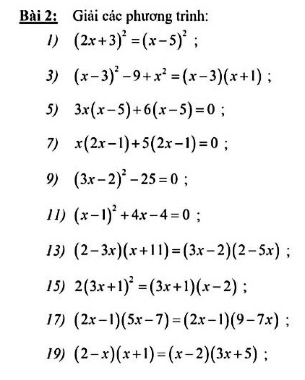
`(2x+3)^2=(x-5)^2`
`(2x+3)^2-(x-5)^2=0`
`(2x+3-x+5) ( 2x+3-+x-5)=0`
`x+8=0` hoặc `3x-2=0`
`x=-8` hoặc `x=2/3`
Vậy `....`
`3`
`(x-3)^2 - 9+x^2 = (x-3)(x-1)`
`(x-3)^2 + (x-3)(x+3) - (x-3)(x-1)=0`
`(x-3)(x-3+x+3-x+1)=0`
`x-3=0` hoặc `x+1=0`
`x=3` hoặc `x=-1`
Vậy `....`
`5`
`3x(x-5) +6(x-5)=0`
`3(x+2)(x-5)=0`
`x+2=0` hoặc `x-5=0`
`x=-2` hoặc `x=5`
Vậy `....`
`7`
`x(2x-1)+5(2x-1)=0`
`(x+5)(2x-1)=0`
`x=-5` hoặc `x=1/2`
Vậy `....`
`9`
`(3x-2)^2 - 25=0`
`(3x-2-5)(3x-2+5)=0`
`3x-7=0` hoặc `3x+3=0`
`x=7/3` hoặc `x=-1`
Vậy `....`
`11`
`(x-1)^2 + 4x-4=0`
`(x-1)^2 +4(x-1)=0`
`(x-1)(x-1+4)=0`
`x-1=0` hoặc `x+3=0`
`x=1` hoặc `x=-3`
Vậy `....`
`13`
`(2-3x)(x+11) = (3x-2)(2-5x)`
`(2-3x)(x+11) + (2-3x)(2-5x)=0`
`(2-3x) (x+11+2-5x)=0`
`2-3x=0` hoặc `13-4x=0`
`x=2/3` hoặc `x=13/4`
Vậy `....`
`15`
`2(3x+1)^2 = (3x+1)(x-2)`
`(6x+2)(3x+1) -(3x+1)(x-2) =0`
`(3x+1)(6x+2-x+2)=0`
`3x+1=0` hoặc `5x + 4=0`
`x=-1/3` hoặc `x=-4/5`
Vậy `....`
`17`
`(2x-1)(5x-7) = (2x-1)(9-7x) `
`(2x-1)(5x-7) - (2x-1)(9-7x)=0`
`(2x-1)(5x-7-9+7x)=0`
`2x-1=0` hoặc `12x - 16 =0`
`x=1/2` hoặc `x=4/3`
Vậy `....`
`19`
`(2-x)(x+1) = (x-2)(3x+5)`
`(2-x)(x+1) + (2-X)(3x+5)=0`
`(2-x)(x+1+3x+5)=0`
`2-x=0` hoặc `4x+ 6=0`
`x=2` hoặc `x=-3/2`
Vậy `....`
Hãy giúp mọi người biết câu trả lời này thế nào?
Đáp án:
`1) (2x + 3)^2 = (x - 5)^2`
`(2x + 3)^2 - (x - 5)^2 = 0`
`(2x + 3 - x + 5)(2x + 3 + x - 5) = 0`
`(x + 8)(3x - 2) = 0`
`x + 8 = 0` hoặc `3x - 2 = 0`
`x = -8` hoặc `x = 2/3`
Vậy pt có 2 nghiệm là `x = -8` và `x = 2/3`
`3) (x - 3)^2 - 9 + x^2 = (x - 3)(x + 1)`
`(x - 3)^2 + (x^2 - 9) - (x - 3)(x + 1) = 0`
`(x - 3)^2 + (x - 3)(x + 3) - (x - 3)(x + 1) = 0`
`(x - 3)(x - 3 + x + 3 - x - 1) = 0`
`(x - 3)(x - 1) = 0`
`x - 3 = 0` hoặc `x - 1 = 0`
`x = 3` hoặc `x = 1`
Vậy pt có 2 nghiệm là `x = 3` và `x = 1`
`5) 3x(x - 5) + 6(x - 5) = 0`
`(3x + 6)(x - 5) = 0`
`3x + 6 = 0` hoặc `x - 5 = 0`
`x = -2` hoặc `x = 5`
Vậy pt có 2 nghiệm là `x = -2` hoặc `x = 5`
`7) x(2x - 1) + 5(2x - 1) = 0`
`(x + 5)(2x - 1) = 0`
`x + 5 = 0` hoặc `2x - 1 = 0`
`x = -5` hoặc `x = 1/2`
Vậy pt có 2 nghiệm là `x = -5` hoặc `x = 1/2`
`9) (3x - 2)^2 - 25 = 0`
`(3x - 2 - 5)(3x - 2 + 5) = 0`
`(3x - 7)(3x + 3) = 0`
`3x - 7 = 0` hoặc `3x + 3 = 0`
`x = 7/3` hoặc `x = -1`
Vậy pt có 2 nghiệm là `x = 7/3` hoặc `x = -1`
`11) (x - 1)^2 + 4x - 4 = 0`
`(x - 1)^2 + 4(x - 1) = 0`
`(x - 1)(x - 1 + 4) = 0`
`(x - 1)(x - 3) = 0`
`x - 1 = 0` hoặc `x - 3 = 0`
`x = 1` hoặc `x = 3`
Vậy pt có 2 nghiệm `x = 1` hoặc `x = 3`
`13) (2 - 3x)(x + 11) = (3x - 2)(2 - 5x)`
`(2 - 3x)(x + 11) - (3x - 2)(2 - 5x) = 0`
`(2 - 3x)(x + 11 + 2 - 5x) = 0`
`(2 - 3x)(13 - 4x) = 0`
`2 - 3x = 0` hoặc `13 - 4x = 0`
`x = 2/3` hoặc `x = 13/4`
Vậy pt có 2 nghiệm là `x = 2/3` và `x = 13/4`
`15) 2(3x + 1)^2 = (3x + 1)(x - 2)`
`2(3x + 1)^2 - (3x + 1)(x - 2) = 0`
`(6x + 2 - x + 2)(3x + 1) = 0`
`(5x + 4)(3x + 1) = 0`
`5x + 4 = 0` hoặc `3x + 1 = 0`
`x = -4/5` hoặc `x = -1/3`
Vậy pt có 2 nghiệm là `x = -4/5` hoặc `x = -1/3`
`17) (2x - 1)(5x - 7) = (2x - 1)(9 - 7x)`
`(2x - 1)(5x - 7) - (2x - 1)(9 - 7x) = 0`
`(2x - 1)(5x - 7 - 9 + 7x) = 0`
`(2x - 1)(12x - 16) = 0`
`2x - 1 = 0` hoặc `12x - 16 = 0`
`x = 1/2` hoặc `x = 4/3`
Vậy pt có 2 nghiệm là `x = 1/2` hoặc `x = 4/3`
`19) (2 - x)(x + 1) = (x - 2)(3x + 5)`
`(2 - x)(x + 1) + (2 - x)(3x + 5) = 0`
`(2 - x)(x + 1 + 3x + 5) = 0`
`(2 - x)(4x + 6) = 0`
`2 - x = 0` hoặc `4x + 6 = 0`
`x = 2` hoặc `x = -3/2`
Vậy pt có 2 nghiệm là `x = 2` hoặc `x = -3/2`
Hãy giúp mọi người biết câu trả lời này thế nào?
Bảng tin