

Hãy luôn nhớ cảm ơn và vote 5*
nếu câu trả lời hữu ích nhé!
`2` $\dfrac{5}{x}+$$\dfrac{x-3}{x-4}=$$\dfrac{x^2-10}{x(x-4)}$ ĐKXĐ:$x\ne0;$$x\ne4$
$\dfrac{5(x-4)}{x(x-4)}+$$\dfrac{x(x-3)}{x(x-4)}=$$\dfrac{x^2-10}{x(x-4)}$
`5x-20+x^2-3x=x^2-10|`
`-x^2+x^2+5x-3x-20+10=0`
`2x-10=0`
`2x=10`
`x=10/2=5`
Giá trị `x=5` thỏa mãn ĐKXH. Vậy `x=5` là nghiệm của phương trình `(2)`
`4` $\dfrac{3}{x^2-3x}+$$\dfrac{1}{x}=$$\dfrac{x+4}{x-3}$ ĐKXĐ:$x\ne0;$$x\ne3$
$\dfrac{3}{x(x-3)}+$$\dfrac{1}{x}=$$\dfrac{x+4}{x-3}$
$\dfrac{3}{x(x-3)}+$$\dfrac{x-3}{x(x-3)}=$$\dfrac{x(x+4)}{x(x-3)}$
`3+x-3=x^2+4x`
`-x^2-4x+x=0`
`-x^2-3x=0`
`x^2+3x=0`
`x(x+3)=0`
`TH1` `x=0(tm)`
`TH2` `x+3=0`
`x=-3(tm`
Vậy `x=-3` là nghiệm của phương trình `(4)`
`6.` $\dfrac{x}{x-3}+$$\dfrac{x}{x+1}=$$\dfrac{2x^2-4}{(x-3)(x+1)}$ ĐKXĐ:$x\ne3;$$x\ne-1$
$\dfrac{x(x+1)}{(x-3)(x+1)}+$$\dfrac{x(x-3)}{(x-3)(x+1)}=$$\dfrac{2x^2-4}{(x-3)(x+1)}$
$\dfrac{x^2+x+x^2-3x}{(x-3)(x+1)}=$$\dfrac{2x^2-4}{(x-3)(x+1)}$
`x^2+x+x^2-3x=2x^2-4`
`-2x^2+x^2+x^2-2x-4=0`
`-2x-4=0`
`2x+4=0`
`2x=4`
`x=4/2=2(tm)`
Vậy `x=2` là nghiệm của phương trình `(6)`
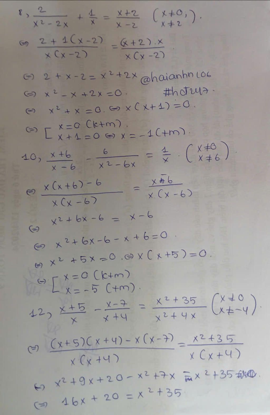
`8.` $\dfrac{2}{x^2-2x}+$$\dfrac{1}{x}=$$\dfrac{x+2}{x-2}$ ĐKXĐ:$x\ne0;$$x\ne2$
$\dfrac{2}{x(x-2)}+$$\dfrac{x-2}{x(x-2)}=$$\dfrac{x(x+2)}{x(x-2)}$
$\dfrac{2+x-2}{x(x-2)}=$$\dfrac{x^2+2x}{x(x-2)}$
`2+x-2=x^2+2x`
`-x^2-2x+x=0`
`x^2-x=0`
`x^2+x=0`
`x(x+1)=0`
`TH1` `x=0(ktm)`
`TH2` `x+1=0`
`x=-1(tm)`
Vậy `x=-1` là nghiệm của phương trình `(8)`
Hãy giúp mọi người biết câu trả lời này thế nào?
Bảng tin