

qqqqqqqqqqqqqqqqqqqqqqqqqqqqqqqqqqqqqqqqqqqqqqqqqqqqqqqqqqqqqqqqqqqqqqqqqqqqqqqqqqqqqqqqqqqqqqqqqqqqqqqq
Hãy luôn nhớ cảm ơn và vote 5*
nếu câu trả lời hữu ích nhé!
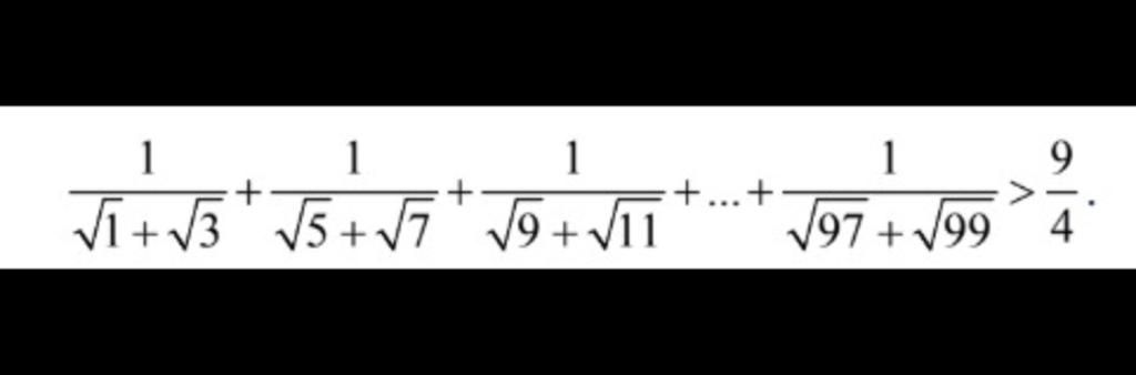
Đặt `S=1/(\sqrt{1}+\sqrt{3})+1/(\sqrt{5}+\sqrt{7})+1/(\sqrt{9}+\sqrt{11})+...+1/(\sqrt{97}+\sqrt{99}`
Xét:
`1/(\sqrt{1}+\sqrt{3})>1/(\sqrt{3}+\sqrt{5})`
`1/(\sqrt{5}+\sqrt{7})>1/(\sqrt{7}+\sqrt{9})`
....
`1/(\sqrt{97}+\sqrt{99})>1/(\sqrt{99}+\sqrt{101})`
`=>2.S>1/(\sqrt{1}+\sqrt{3})+1/(\sqrt{3}+\sqrt{5})+1/(\sqrt{5}+\sqrt{7})+1/(\sqrt{7}+\sqrt{9})+...+1/(\sqrt{97}+\sqrt{99})+1/(\sqrt{99}+\sqrt{101})`
`=>2S>(\sqrt{3}-1)/2+(\sqrt{5}-\sqrt{3})/2+(\sqrt{7}-\sqrt{5})/2+(\sqrt{9}-\sqrt{7})/2+...+(\sqrt{99}-\sqrt{97})/2+(\sqrt{101}-\sqrt{99})/2`
`=>2S>(\sqrt{3}-1+\sqrt{5}-\sqrt{3}+\sqrt{7}-\sqrt{5}+\sqrt{9}-\sqrt{7}+...+\sqrt{99}-\sqrt{97}+\sqrt{101}-\sqrt{99})/2`
`=>2S>(\sqrt{101}-1)/2`
mà `\sqrt{101}-1>\sqrt{100}-1=9`
`=>2S>9/2`
`=>S>9/4`
Vậy...
Hãy giúp mọi người biết câu trả lời này thế nào?

Bảng tin