

Hãy luôn nhớ cảm ơn và vote 5*
nếu câu trả lời hữu ích nhé!
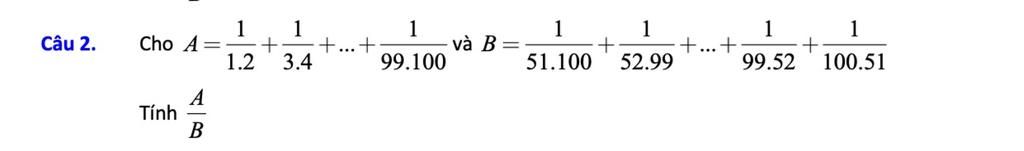
`A = 1/1.2 + 1/3.4 + ... + 1/99.100`
`A= 1- 1/2 + 1/3 - 1/4 + ... + 1/99 -1/100`
`A= (1+1/3+ ... + 1/99) - (1/2 + 1/4 + ... + 1/100)`
`A= (1+1/2+ 1/3+1/4+ ... + 1/99+1/100) - 2 . (1/2 + 1/4 + ... + 1/100)`
`A = (1+1/2+ 1/3+1/4+ ... + 1/99+1/100) - ( 1 + 1/2 + ... + 1/50)`
`A = 1/51 + 1/52 + ... + 1/100`
`B = 1/51.100 + 1/52.99 + ... + 1/99.52 + 1/100.51`
`B = 1/(51 . (151-51) ) + 1/(52 . (151-52) ) + ... + 1/( 99 . (151 - 99) ) + 1/(100 . ( 151 -100) )`
`B = 1/51 . 1/(151 -51) + 1/52 . 1/(151-52) + ... + 1/99 . 1/(151-99) + 1/100 . 1/(151-100)`
`B = 1/151(1/51 +1/100) + 1/151(1/52 +1/99) + ... + 1/151(1/99+1/52) + 1/151(1/100 + 1/51)`
`B = 1/151 . [ ( 1/51 +1/100) + (1/52+1/99) + ... + (1/99+1/52) + (1/100+1/51) ]`
`B = 1/151 . [ 2 . ( 1/51 + 1/52 + ... + 1/99 + 1/100 ) ]`
`B = 2/151 . ( 1/51 + 1/52 + ... + 1/99 + 1/100 )`
`A/B = (1/51 + 1/52 + ... + 1/100)/(2/151 . ( 1/51 + 1/52 + ... + 1/99 + 1/100 ) )`
`A/B = 1/(2/151) = 151/2`
Hãy giúp mọi người biết câu trả lời này thế nào?
![]()
Bảng tin