

Hãy luôn nhớ cảm ơn và vote 5*
nếu câu trả lời hữu ích nhé!
Đáp án:
Giải thích các bước giải:
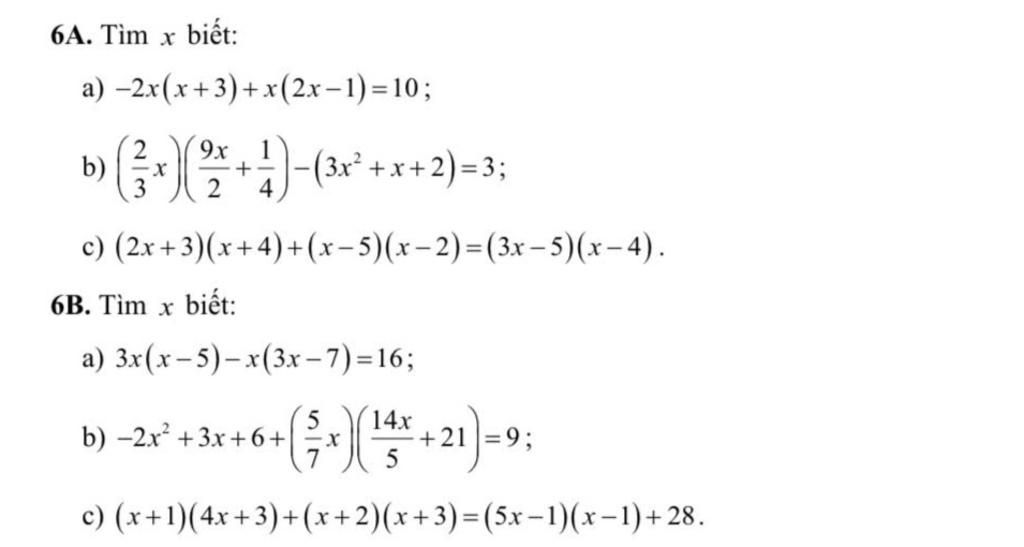
`6A`
`a)-2x(x+3) +x(2x-1)=10`
`-2x^2 - 6x + 2x^2 - x =10`
`-7x = 10`
`x=-10/7`
Vậy `x=-10/7`
`b)(2/3x)((9x)/2+1/4)-(3x^2 +x+2)=3`
`3x^2 +1/6x - 3x^2 -x-2 =3`
`(-5)/6x = 3+2`
`(-5)/6x=5`
`x=-6`
Vậy `x=-6`
`c)(2x+3)(x+4) + (x-5)(x-2) = (3x-5)(x-4)`
`2x^2 +11x + 12 + x^2 - 7x + 10 = 3x^2 -17x + 20`
`2x^2 +11x + x^2 -7x - 3x^2 + 17x = 20 -12 -10`
`21x = -2`
`x=-2/21`
Vậy `x=-2/21`
`6B`
`a)3x(x-5) -x(3x-7) = 16`
`3x^2 - 15x - 3x^2 + 7x = 16`
`-8x = 16`
`x=-2`
Vậy `x=-2`
`b)-2x^2 + 3x +6 + (5/7x)((14x)/5 +21)=9`
`-2x^2 + 3x +6 + 2x^2 + 15x =9`
`18x = 9 -6`
`18x = 3`
`x=1/6`
Vậy `x=1/6`
`c)(x+1)(4x+3) + (x+2)(x+3) = (5x-1)(x-1) + 28`
`4x^2 + 7x +3 + x^2 + 5x +6 = 5x^2 -6x +1 + 28`
`4x^2 + 7x + x^2 + 5x - 5x^2 + 6x = 1+28 -3-6`
`18x = 20`
`x=10/9`
vậy `x=10/9`
Hãy giúp mọi người biết câu trả lời này thế nào?
Đáp án `+` Giải thích các bước giải:
`bb 6A.`
`a) - 2x(x + 3) + x(2x - 1) = 10 `
`−2x ^ 2 −6x+2x ^ 2 −x=10`
`(−2x^2+2x^2)+(−6x−x)=10`
`−7x=10`
`x = 10 : (-7)`
`x = -10/7`
Vậy `x = -10/7`
``
`b) (2/3 x)((9x)/2 + 1/4) - (3x ^ 2 + x + 2) = 3`
`3x^2 + 1/6x - 3x^2 - x - 2 = 3`
`(3x^2 - 3x^2) + (1/6x - x) - 2 = 3`
`-5/6x - 2 = 3`
`-5/6x = 5`
`x = 5 : (-5/6)`
`x = -6`
Vậy `x = -6`
``
`c) (2x + 3)(x + 4) + (x - 5)(x - 2) = (3x - 5)(x - 4)`
`2x^2 + 8x + 3x + 12 + x^2 - 2x - 5x + 10 = 3x^ 2 +4x+22`
`(2x^2 + x^2) + (8x + 3x - 2x - 5x) + (12 + 10) = 3x ^ 2 −17x+20`
`3x^2 + 4x + 22 = 3x^2 - 17x + 20`
`3x^2 +4x + 22 - 3x^2 + 17x - 20 = 0`
`(3x^2 - 3x^2) + (4x + 17x) + (22 - 20) = 0`
`21x+ 2 = 0`
`21x = -2`
`x = -2 : 21`
`x = -2/21`
Vậy `x = -2/21`
``
`bb 6B.`
`a) 3x(x - 5) - x(3x - 7) = 16`
` 3x^2 - 15x - 3x^2 + 7x = 16`
` (3x^2 - 3x^2) + (-15x + 7x) = 16 `
` -8x = 16`
` x = -2`
Vậy `x = -2`
``
`b) - 2x ^ 2 + 3x + 6 + (5/7 x)((14x)/5 + 21) = 9`
` -2x^2 + 3x + 6 + 2x^2 + 15x = 9`
`(-2x^2 + 2x^2) + (3x + 15x) + 6 = 9 `
` 18x + 6 = 9 `
` 18x = 3 `
` x = 1/6`
Vậy `x = 1/6`
``
`c) (x + 1)(4x + 3) + (x + 2)(x + 3) = (5x - 1)(x - 1) + 28`
`4x^2 + 3x + 4x + 3 + x^2 + 3x + 2x + 6 = 5x^2 - 5x - x + 1 + 28`
`(4x^2 + x^2) + (3x +4x + 3x + 2x) + (3 + 6) = 5x^2 - 6x + 29`
`5x^2 + 12x + 9 = 5x^2 - 6x + 29`
`5x^2 + 12x - 5x^2 + 6x = - 9 + 29 `
` (5x^2 - 5x^2) + (12x + 6x) = 29 - 9`
` 18x = 20`
`x = 20: 18`
`x = 10/9`
Vậy `x = 10/9`
Hãy giúp mọi người biết câu trả lời này thế nào?
Bảng tin