

Hãy luôn nhớ cảm ơn và vote 5*
nếu câu trả lời hữu ích nhé!
Đáp án:
Giải thích các bước giải:
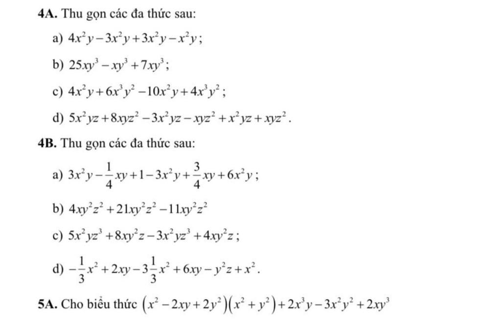
`4A`
`a)4x^2y - 3x^2y + 3x^2y - x^2y`
`=(4-3+3-1)x^2y`
`=3x^2y`
`b)25xy^3 - xy^3 + 7xy^3`
`=(25-1+7)xy^3`
`=31xy^3`
`c)4x^2y+6x^3y^2-10x^2y + 4x^3y^2`
`=(4-10)x^2y + (6+4)x^3y^2`
`=-6x^2y + 10x^3y^2`
`d)5x^2yz + 8xyz^2 - 3x^2yz - xyz^2 + x^2y + xyz^2`
`=(5-3+1)x^2yz + (8-1+1)xyz^2`
`=3x^2yz + 8xyz^2`
`4B`
`a)3x^2y - 1/4xy + 1 - 3x^2y + 3/4xy + 6x^2y`
`=(3-3+6)x^2y + (-1/4+3/4)xy +1`
`=6x^2y + 1/2xy + 1`
`b)4xy^2^2 + 21xy^2z^2 -11zy^2z^2`
`=(4 + 21-11) xy^2z^2`
`=14xy^2z^2`
`c)5x^2yz^3 + 8xy^2z - 3x^2yz^3 +4xy^2z`
`=(5-3)x^2yz^3 + (8+4)xy^2z`
`=2x^2yz^3 + 12xy^2z`
`d)-1/3x^2 + 2xy - 3 1/3x^2 + 6xy - y^2z + x^2`
`=(-1/3 - 3 1/3 +1)x^3 + (2+6)xy - y^2z`
`=-8/3x^3 + 8xy - y^2z`
Hãy giúp mọi người biết câu trả lời này thế nào?
`4A`
`a) 4x^2y - 3x^2y + 3x^2y - x^2y `
`= (4 - 3 + 3 - 1)x^2y `
`= 3x^2y `
`b) 25xy^3 - xy^3 + 7xy^3 `
`= (25 - 1 + 7)xy^3 `
`= 31xy^3 `
`c) 4x^2y + 6x^3y^2 - 10x^2y + 4x^3y^2 `
`= (4 - 10)x^2y + (6 + 4)x^3y^2 `
`= -6x^2y + 10x^3y^2 `
`d) 5x^2yz + 8xyz^2 - 3x^2yz - xyz^2 + x^2yz + xyz^2`
`= (5 - 3 + 1)x^2yz + (8 - 1 + 1)xyz^2 `
`= 3x^2yz + 8xyz^2 `
`4B`
$a) 3x^2y - \dfrac{1}{4}xy + 1 - 3x^2y + \dfrac{3}{4}xy + 6x^2y = (3 - 3 + 6)x^2y + \left(-\dfrac{1}{4} + \dfrac{3}{4}\right)xy + 1 = 6x^2y + \dfrac{1}{2}xy + 1 $
$b) 4xy^2z^2 + 21xy^2z^2 - 11xy^2z^2 = (4 + 21 - 11)xy^2z^2 = 14xy^2z^2 $
`c) 5x^2yz^3 + 8xy^2z - 3x^2yz^3 + 4xy^2z`
`= (5 - 3)x^2yz^3 + (8 + 4)xy^2z `
`= 2x^2yz^3 + 12xy^2z `
$d) -\dfrac{1}{3}x^2 + 2xy - 3 - \dfrac{1}{3}x^2 + 6xy - y^2z + x^2 = \left(-\dfrac{1}{3} - \dfrac{1}{3} + 1\right)x^2 + (2 + 6)xy - 3 - y^2z = \dfrac{1}{3}x^2 + 8xy - 3 - y^2z $
Hãy giúp mọi người biết câu trả lời này thế nào?
Bảng tin