

Hãy luôn nhớ cảm ơn và vote 5*
nếu câu trả lời hữu ích nhé!
Đáp án + Giải thích các bước giải:
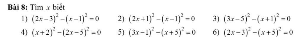
Bài $8$:
$1) (2x - 3)^2 - (x - 1)^2 = 0$
$(2x - 3 + x - 1)(2x - 3 - x + 1) = 0$
$(3x - 4)(x - 2) = 0$
$3x - 4 = 0$ hoặc $x - 2 = 0$
$x = \dfrac{4}{3}$ hoặc $x = 2$
Vậy $x = \dfrac{4}{3}$ hoặc $x = 2$
$\\$
$2) (2x + 1)^2 - (x -1 )^2 = 0$
$(2x+ 1 + x - 1)(2x + 1 - x + 1) = 0$
$3x(x + 2) = 0$
$3x = 0$ hoặc $x + 2 = 0$
$x = 0$ hoặc $x = -2$
Vậy $x = 0$ hoặc $x = -2$
$\\$
$3) (3x - 5)^2 - (x + 1)^2 = 0$
$(3x - 5 + x + 1)(3x - 5 - x - 1) = 0$
$(4x - 4)(2x - 6) = 0$
$4x - 4 = 0$ hoặc $2x - 6 = 0$
$x = 1$ hoặc $x = 3$
Vậy $x = 1$ hoặc $x = 3$
$\\$
$4) (x + 2)^2 - (2x - 5)^2 = 0$
$(x + 2 + 2x - 5)(x + 2 - 2x + 5) = 0$
$(3x - 3)(7 - x) = 0$
$3x - 3= 0$ hoặc $7 - x = 0$
$x = 1$ hoặc $x = 7$
Vậy $x = 1$ hoặc $x = 7$
$\\$
$5) (3x - 1)^2 - (x + 5)^2 = 0$
$(3x - 1 + x + 5)(3x - 1 - x - 5) = 0$
$(4x + 4)(2x - 6) = 0$
$4x + 4 = 0$ hoặc $2x - 6 = 0$
$x = -1$ hoặc $x = 3$
Vậy $x = -1$ hoặc $x = 3$
$\\$
$6) (2x - 3)^2 - (x + 5)^2 = 0$
$(2x - 3 + x + 5)(2x - 3 - x - 5) = 0$
$(3x + 2)(x - 8) = 0$
$3x + 2 = 0$ hoặc $x - 8 = 0$
$x = -\dfrac{2}{3}$ hoặc $x = 8$
Vậy $x = -\dfrac{2}{3}$ hoặc $x = 8$
Hãy giúp mọi người biết câu trả lời này thế nào?

1) (2x-3)²-(x-1)²=0
⇔ [ (2x-3)-(x-1) ].[ (2x-3)+(x-1) ]=0
⇔ [ 2x-3-x+1 ].[ 2x-3+x-1 ]=0
⇔ [ x-2 ].[ 3x-4 ]=0
⇔ x-2=0 ⇒x=2
3x-4=0 x=$\frac{4}{3}$
Từ các câu trở đi giống nhau nên mình làm tắt nha
2) (2x+1)²-(x-1)²=0
⇔ (x+2)3x=0
⇔ x=-2 hoặc x=0
3) (3x-5)²-(x+1)²=0
⇔ (2x-6)(4x-4)=0
⇔ x=3 hoặc x=1
4) (x+2)²-(2x-5)²=0
⇔ (-3x+7)(3x-3)=0
⇔ x=$\frac{7}{3}$ hoặc x=1
5) (3x-1)²-(x+5)²=0
⇔ (2x-6)(4x+4)=0
⇔ x=3 hoặc x=-1
6) (2x-3)²-(x+5)²=0
⇔ (x-8)(3x+2)=0
⇔ x=8 hoặc x=$\frac{-2}{3}$
Hãy giúp mọi người biết câu trả lời này thế nào?
Bảng tin