

giup minh với ạa, minh cảmonn
Hãy luôn nhớ cảm ơn và vote 5*
nếu câu trả lời hữu ích nhé!
Đáp án `+` Giải thích các bước giải:
`2.`
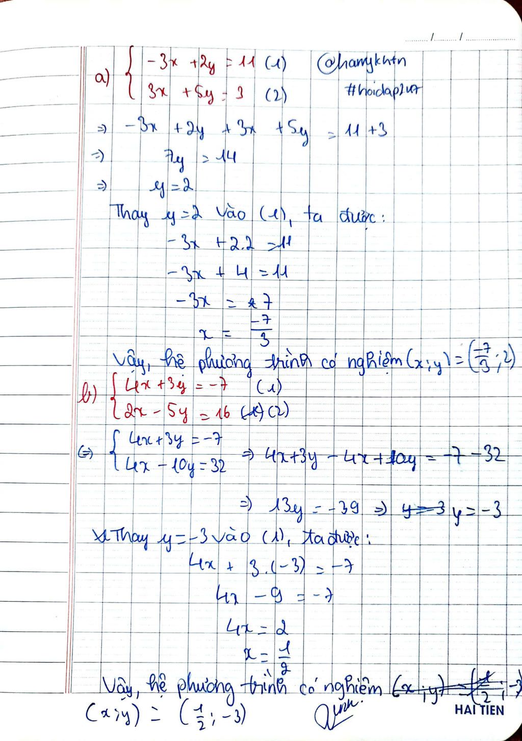
`a,` $\begin{cases} -3x+2y=11 (1)\\3x+5y=3 (2) \end{cases}$
Ta cộng từng vế hai phương trình `(1),(2)` , ta được:
`7y = 14`
`⇒ y = 2`
Thay `y = 2` vào phương trình `(2)` , ta được:
`3x + 5 . 2 = 3`
`⇒ 3x + 10 = 3`
`⇒ 3x = -7`
`⇒ x = -7/3`
Vậy `HPT` trên có nghiệm duy nhất `(x;y) = (-7/3;2)`
`@@@@@@@@@@@@@@@@@@@@@@@@`
`b,` $\begin{cases} 4x+3y=-7 (1)\\2x-5y=16 (2) \end{cases}$
Ta nhân từng vế phương trình `(2)` với `2` , ta được:
`⇒` $\begin{cases} 4x + 3y = -7 (3)\\4x-10y=32 (4) \end{cases}$
Ta trừ từng vế hai phương trình `(3),(4)` , ta được:
`13y = -39`
`⇒ y = -3`
Thay `y = -3` vào phương trình `(2)` , ta được:
`2x - 5 . (-3) = 16`
`⇒ 2x + 15 = 16`
`⇒ 2x - (-15) = 16`
`⇒ 2x = 1`
`⇒ x = 1/2`
Vậy `HPT` trên có nghiệm duy nhất `(x;y) = (1/2;-3)`
`@@@@@@@@@@@@@@@@@@@@@@@@`
`3,` $\begin{cases} -5x + 3y = 22 (1)\\3x + 2y = 2 (2) \end{cases}$
Ta nhân từng vế phương trình `(1)` với `2` và phương trình `(2)` với 3` , ta được:
`⇒` $\begin{cases} -10x + 6y = 44 (3)\\9x + 6y = 6 (4) \end{cases}$
Ta trừ từng vế hai phương trình `(3),(4)` , ta được:
`-19x = 38`
`⇒ x = -2`
Thay `x = -2` vào phương trình `(2)` , ta được:
`3 . (-2) + 2y = 2`
`⇒ -6 + 2y = 2`
`⇒ 2y = 2 - (-6)`
`⇒ 2y = 2 + 6`
`⇒ 2y = 8`
`⇒ y = 4`
Vậy `HPT` trên có nghiệm duy nhất `(x;y) = (4;-2)`
Hãy giúp mọi người biết câu trả lời này thế nào?
![]()
Bảng tin
3579
378
1749
Xem lại kết luận câu cuối.
74
1515
197
hello anh
74
1515
197
nghe nói anh ọp vv hả