

giúp e gấp ạ e cảm ơn
Hãy luôn nhớ cảm ơn và vote 5*
nếu câu trả lời hữu ích nhé!
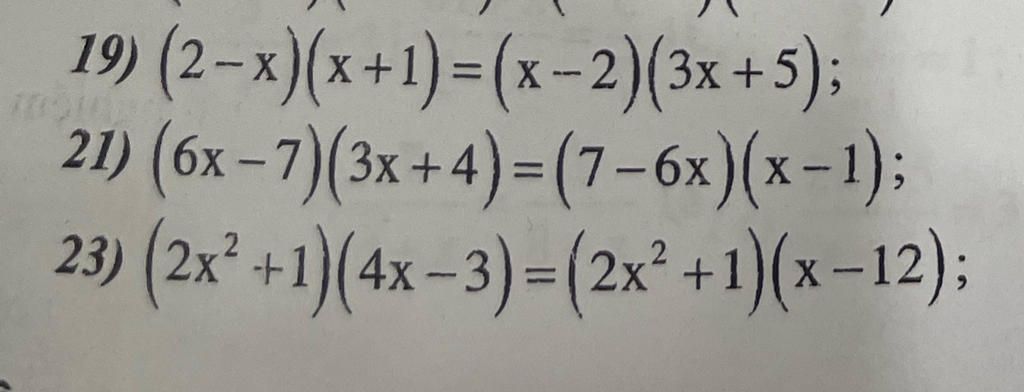
`19,` `(2-x)(x+1)=(x-2)(3x+5)`
`<=> (2-x)(x+1)-(x-2)(3x+5) = 0`
`<=> (2-x)(x+1)+(2-x)(3x+5)=0`
`<=>(2-x)(x+1+3x+5)=0`
`<=> (2-x)(4x+6)=0`
`<=>` $\left[\begin{matrix} 2-x=0\\4x+6=0\end{matrix}\right.$
`<=>` $\left[\begin{matrix} x=2\\x=-\dfrac{3}{2}\end{matrix}\right.$
Vậy `S = { 2 ; -3/2 }`
`21,` `(6x-7)(3x+4)=(7-6x)(x-1)`
`<=> (6x-7)(3x+4)-(7-6x)(x-1)=0`
`<=> (6x-7)(3x+4)+(6x-7)(x-1)=0`
`<=> (6x-7)(3x+4+x-1)=0`
`<=> (6x-7)(4x+3)=0`
`<=>` $\left[\begin{matrix}6x-7=0\\4x+3=0\end{matrix}\right.$
`<=>` $\left[\begin{matrix} x=\dfrac{7}{6}\\x=-\dfrac{3}{4}\end{matrix}\right.$
Vậy `S = { 7/6 ; -3/4 }`
`23,` `(2x^2+1)(4x-3)=(2x^2+1)(x-12)`
`<=> (2x^2+1)(4x-3)-(2x^2+1)(x-12)=0`
`<=> (2x^2+1)[4x-3-(x-12)]=0`
`<=> (2x^2+1)(4x-3-x+12)=0`
`<=> (2x^2+1)(3x+9)=0`
Vì `2x^2 + 1 > 0 ∀ x`
`=> 3x + 9 = 0`
`<=> x = -3`
Vậy `S = { -3}`
Hãy giúp mọi người biết câu trả lời này thế nào?
Đáp án:
Giải thích các bước giải:
`19`
`(2-x)(x+1) = (x-2)(3x+5)`
`(2-x)(x+1) + (2-x)(3x+5) =0`
`(2-x)(x+1+3x+5) =0`
`2-x=0` hoặc `4x+6 =0`
`x=2` hoặc `x=-3/2`
Vậy `....`
`21`
`(6x-7)(3x+4) = (7-6x)(x-1)`
`(6x-7)(3x+4) + (6x-7)(x-1)=0`
`(6x-7)(3x+4 + x-1)=0`
`6x-7=0` hoặc `4x +3 =0`
`x=7/6` hoặc `x=-3/4`
Vậy `...`
`23`
`(2x^2+1)(4x-3)=(2x^2+1)(x-12)`
`(2x^2+1)(4x-3)-(2x^2+1)(x-12)=0`
`(2x^2+1)(4x-3-x+12)=0`
`2x^2+1=0` hoặc `3x + 9=0`
`x^2=-1/2(` vô lí `)` hoặc `x=-3`
Vậy `....`
Hãy giúp mọi người biết câu trả lời này thế nào?
Bảng tin