

giúp e với e cảm ơnn
Hãy luôn nhớ cảm ơn và vote 5*
nếu câu trả lời hữu ích nhé!
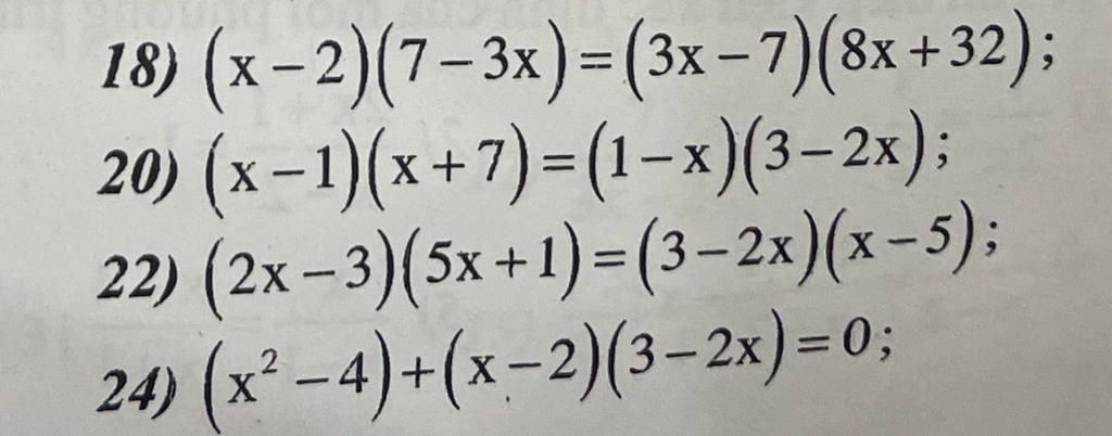
`18)`
`(x-2)(7-3x) = (3x-7)(8x+32)`
`(x-2)(7-3x) - (3x-7)(8x+32) = 0`
`(x-2)(7-3x) + (7-3x)(8x+32) = 0`
`(7-3x)(x-2+8x+32) = 0`
`(7-3x)(9x + 30) = 0`
`(7-3x)(3x+10).3 = 0`
`(7-3x)(3x+10) = 0`
`7 - 3x = 0` hoặc `3x+10 = 0`
`x = 7/3` hoặc `x = -10/3`
Vậy `S = {7/3; -10/3}`
`20)`
`(x-1)(x+7) = (1-x)(3-2x)`
`(x-1)(x+7) - (1-x)(3-2x) = 0`
`(x-1)(x+7) + (x-1)(3-2x) = 0`
`(x-1)(x+7 + 3 -2x) = 0`
`(x-1)(10-x) = 0`
`x-1 = 0` hoặc `10 - x = 0`
`x = 1` hoặc `x= 10`
Vậy `S={1;10}`
`22)`
`(2x-3)(5x+1) = (3-2x)(x-5)`
`(2x-3)(5x+1) - (3-2x)(x-5) = 0`
`(2x-3)(5x+1) + (2x-3)(x-5) = 0`
`(2x-3)(5x+1+x-5) = 0`
`(2x-3)(6x - 4) = 0`
`(2x-3)(3x-2).2 = 0`
`2x -3 = 0` hoặc `3x - 2=0`
`x = 3/2` hoặc `x = 2/3`
Vậy `S = {3/2; 2/3}`
`24)`
`(x^2 - 4) + (x-2)(3-2x) = 0`
`(x-2)(x+2) + (x-2)(3-2x) = 0`
`(x-2)(x+2 + 3-2x) = 0`
`(x-2)(5-x) = 0`
`x-2 = 0` hoặc `5-x = 0`
`x=2` hoặc `x = 5`
Vậy `S = {2; 5}`
Hãy giúp mọi người biết câu trả lời này thế nào?
Đáp án:
Giải thích các bước giải:
`18`
`(x-2)(7-3x) = (3x-7)(8x+32)`
`(x-2)(7-3x) + (7-3x)(8x+32)=0`
`(7-3x)(x-2+8x+32)=0`
`7-3x=0` hoặc `9x + 30=0`
`x=7/3` hoặc `x=-10/3`
Vậy `....`
`20`
`(x-1)(x+7)=(1-x)(3-2x)`
`(x-1)(x+7) + (x-1)(3-2x)=0`
`(x-1)(x+7+3-2x)=0`
`x-1=0` hoặc `-x+10=0`
`x=1` hoặc `x=10`
`Vậy `....`
`22`
`(2x-3)(5x+1)=(3-2x)(x-5)`
`(2x-3)(5x+1) + (2x-3)(x-5)=0`
`(2x-3)(5x+1+x-5)=0`
`2x-3=0` hoặc `6x -4 =0`
`x=3/2` hoặc `x=2/3`
Vậy `....`
`24`
`(x^2-4)+(x-2)(3-2x)=0`
`(x-2)(x+2) + (x-2)(3-2x)=0`
`(x-2)(x+2+3-2x)=0`
`(x-2)(-x+5)=0`
`x-2=0` hoặc `-x+5=0`
`x=2` hoặc `x=5`
Vậy `....`
Hãy giúp mọi người biết câu trả lời này thế nào?
Bảng tin