

Hãy luôn nhớ cảm ơn và vote 5*
nếu câu trả lời hữu ích nhé!
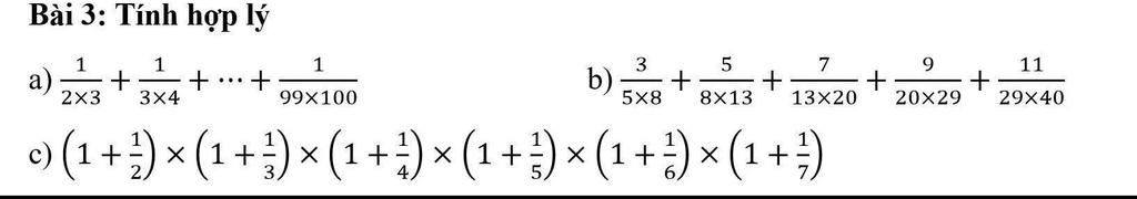
`a) 1/(2 xx 3) + 1/(3 xx 4) + ... + 1/(99 xx 100)`
`= 1/2 - 1/3 + 1/3 - 1/4 + ... + 1/99 - 1/100`
`= 1/2 - 1/100`
`= 49/100`
$\\$
`b) 3/(5 xx 8) + 5/(8 xx 13) + 7/(13 xx 20) + 9/(20 xx 29) + 11/(29 xx 40)`
`= 1/5 - 1/8 + 1/8 - 1/13 + 1/13 - 1/20 + 1/20 - 1/29 + 1/29 - 1/40`
`= 1/5 - 1/40`
`= 7/40`
$\\$
`c) ( 1 + 1/2 ) xx ( 1 + 1/3 ) xx ( 1 + 1/4 ) xx ( 1 + 1/5 ) xx ( 1 + 1/6 ) xx ( 1 + 1/7 )`
`= 3/2 xx 4/3 xx 5/4 xx 6/5 xx 7/6 xx 8/7`
`= (3 xx 4 xx 5 xx 6 xx 7 xx 8)/(2 xx 3 xx 4 xx 5 xx 6 xx 7)`
`= 8/2 = 4`
Hãy giúp mọi người biết câu trả lời này thế nào?
Đáp án+Giải thích các bước giải:
`a) 1/(2xx3)+1/(3xx4)+...+1/(99xx100)`
`= 1/2 - 1/3 + 1/3 - 1/4 + ... + 1/99 - 1/100`
`= 1/2 - 1/100`
`= 50/100 - 1/100`
`= 49/100`
`b) 3/(5xx8)+5/(8xx13)+7/(13xx20)+9/(20xx29)+11/(29xx40)`
`= 1/5 - 1/8 + 1/8 - 1/13 + 1/13 - 1/20 + 1/20 - 1/29 + 1/29 - 1/40`
`= 1/5 - 1/40`
`= 8/40 - 1/40`
`= 7/40`
`c) ( 1 + 1/2 ) xx ( 1 + 1/3 ) xx ( 1 + 1/4 ) xx ( 1+ 1/5 ) xx ( 1 + 1/6 ) xx ( 1 + 1/7 )`
`= 3/2 xx 4/3 xx 5/4 xx 6/5 xx 7/6 xx 8/7`
`= ( 3 xx 4 xx 5 xx 6 xx 7 xx 8 )/( 2 xx 3 xx 4 xx 5 xx 6 xx 7 )`
`= 8/2`
`= 4`
Hãy giúp mọi người biết câu trả lời này thế nào?
Bảng tin