Đăng nhập để hỏi chi tiết


Giúppppp emmmm với ạ, em cần gấppp
Hãy luôn nhớ cảm ơn và vote 5*
nếu câu trả lời hữu ích nhé!
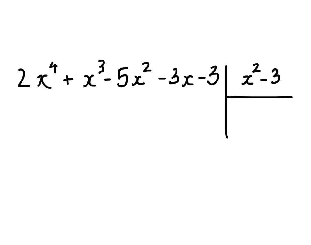
Đáp án `+` Giải thích các bước giải:
Vậy `(2x^4 + x^3 - 5x^2 - 3x - 3) : (x^2 - 3) = 2x^2 + x + 1`
Hãy giúp mọi người biết câu trả lời này thế nào?
![]()
Bảng tin
310
349
267
ayo, stop nhắn bên kia lại =) mod xem bình luận mới thấy đc cái bổ sung của t chứ;)) đây nhá.
4643
42996
2886
=)))
4643
42996
2886
Vô xem tí r ra th =))
310
349
267
Ok =)
310
349
267
tutu, t off xí nhe. pp
4643
42996
2886
=)))
310
349
267
:D