

Hãy luôn nhớ cảm ơn và vote 5*
nếu câu trả lời hữu ích nhé!
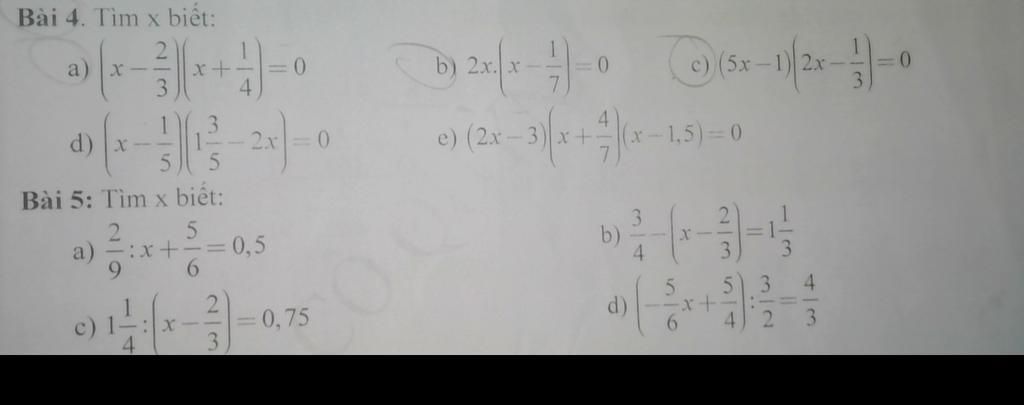
Bài `4`
`a)(x-2/3)(x+1/4)=0`
`x-2/3=0` hoặc `x+1/4=0`
`x=2/3` hoặc `x=-1/4`
Vậy `x in {2/3 ; -1/4}`
`b)2x(x-1/7)=0`
`x=0` hoặc `x-1/7=0`
`x=0` hoặc `x=1/7`
Vậy `x in {0;1/7}`
`c)(5x-1)(2x-1/3)=0`
`5x-1=0` hoặc `2x-1/3=0`
`5x=1` hoặc `2x=1/3`
`x=1/5` hoặc `x=1/6`
Vậy `x in {1/5;1/6}`
`d)(x-1/5)(1 3/5 - 2x)=0`
`x-1/5=0` hoặc `8/5-2x=0`
`x=1/5` hoặc `2x=8/5`
`x=1/5` hoặc `x=4/5`
Vậy `x in {1/5 ; 4/5}`
`e)(2x-3)(x+4/7)(x-1,5)=0`
`2x-3=0` hoặc `x+4/7=0` hoặc `x-1,5=0`
`2x=3` hoặc `x=-4/7` hoặc `x=1,5`
`x=3/2` hoặc `x=-4/7` hoặc `x=3/2`
Vậy `x in {3/2;-4/7}`
Bài `5`
`a)2/9 :x +5/6=0,5`
`2/9 :x = 1/2 - 5/6`
`2/9 :x = (-1)/2`
`x=2/9 : (-1)/2`
`x=(-4)/9`
Vậy `x=-4/9`
`b)3/4 - (x-2/3) =1 1/3`
`3/4 -x+2/3 = 4/3`
`3/4-x=4/3 - 2/3`
`3/4-x=2/3`
`x=3/4 - 2/3`
`x=1/12`
Vậy `x=1/12`
`c)1 1/4 : (x-2/3) = 0,75`
`x-2/3 = 5/4 : 3/4`
`x-2/3 = 5/3`
`x=7/3`
Vậy `x=7/3`
`d)(-5/6 x + 5/4) :3/2 = 4/3`
`-5/6x + 5/4=4/3 * 3/2`
`-5/6x + 5/4 = 2`
`-5/6x = 2-5/4`
`-5/6x = 3/4`
`x=3/4 : (-5)/6`
`x=-9/10`
Vậy `x=-9/10`
Hãy giúp mọi người biết câu trả lời này thế nào?
Bài 4:
`a)(x-2/3)(x+1/4)=0`
`x-2/3=0` hoặc `x+1/4=0`
`x=2/3` hoặc `x=-1/4`
Vậy: ...
`b)2x(x-1/7)=0`
`2x=0` hoặc `x-1/7=0`
`x=0` hoặc `x=1/7`
Vậy: ...
`c)(5x-1)(2x-1/3)=0`
`5x-1=0` hoặc `2x-1/3=0`
`5x=1` hoặc `2x=1/3`
`x=1/5` hoặc `x=1/3:2=1/6`
Vậy: ...
`d)(x-1/5)(1 3/5-2x)=0`
`x-1/5=0` hoặc `1 3/5-2x=0`
`x=1/5` hoặc `8/5-2x=0`
`x=1/5` hoặc `2x=8/5`
`x=1/5` hoặc `x=8/5:2=4/5`
`e)(2x-3)(x+4/7)(x-1,5)=0`
`2x-3=0` hoặc `x+4/7=0` hoặc `x-1,5=0`
`2x=3` hoặc `x=-4/7` hoặc `x=1,5`
`x=3/2` hoặc `x=-4/7` hoặc `x=1,5`
Vậy: ...
Bài 5:
`a)2/9:x+5/6=0,5`
`2/9:x+5/6=1/2`
`2/9:x=1/2-5/6`
`2/9:x=1/3`
`x=2/9:1/3`
`x=2/9*3`
`x=2/3`
Vậy: ....
`b)3/4-(x-2/3)=1 1/3`
`3/4-x+2/3=4/3`
`3/4-x=4/3-2/3`
`3/4-x=2/3`
`x=3/4-2/3`
`x=1/12`
Vậy:...
`c)1 1/4:(x-2/3)=0,75`
`5/4:(x-2/3)=3/4`
`x-2/3=5/4:3/4`
`x-2/3=5/3`
`x=5/3+2/3`
`x=7/3`
Vậy: ....
`d)(-5/6x+5/4):3/2=4/3`
`-5/6x+5/4=4/3*3/2`
`-5/6x+5/4=2`
`-5/6x=2-5/4`
`-5/6x=3/4`
`x=3/4:(-5/6)`
`x=-9/10`
vậy: ...
Hãy giúp mọi người biết câu trả lời này thế nào?
Bảng tin