

Hãy luôn nhớ cảm ơn và vote 5*
nếu câu trả lời hữu ích nhé!
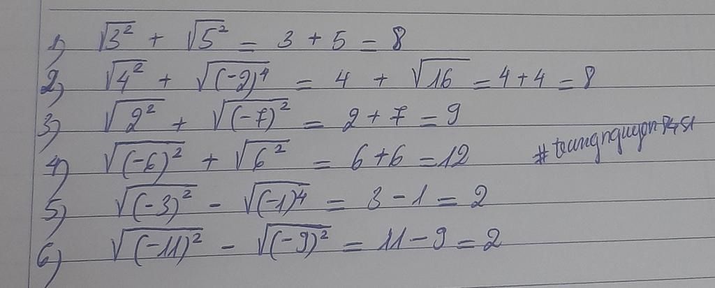
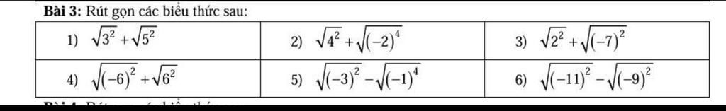
Đáp án:
`1)8`
`2)8`
`3)9`
`4)12`
`5)2`
`6)2`
Giải thích các bước giải:
`1)\sqrt{3^{2}}+\sqrt{5^{2}}=|3|+|5|=3+5=8`
`2)\sqrt{4^{2}}+\sqrt{(-2)^{4}}=|4|+\sqrt{16}=4+\sqrt{4^{2}}=4+4=8`
`3)\sqrt{2^{2}}+\sqrt{(-7)^{2}}=|2|+\sqrt{7^{2}}=2+|7|=2+7=9`
`4)\sqrt{(-6)^{2}}+\sqrt{6^{2}}=\sqrt{6^{2}}+\sqrt{6^{2}}=2.\sqrt{6^{2}}=2.6=12`
`5)\sqrt{(-3)^{2}}-\sqrt{(-1)^{4}}=\sqrt{3^{2}}-\sqrt{1^{4}}=|3|-|1|=3-1=2`
`6)\sqrt{(-11)^{2}}-\sqrt{(-9)^{2}}=\sqrt{11^{2}}-\sqrt{9^{2}}=|11|-|9|=11-9=2`
Hãy giúp mọi người biết câu trả lời này thế nào?
Bảng tin
26368
329208
17600
Ủ thi 12 hả:)
5909
196
6502
=)) đúng r