Đăng nhập để hỏi chi tiết


cú cúuuuuuuuuuuuuuu ạaa
Hãy luôn nhớ cảm ơn và vote 5*
nếu câu trả lời hữu ích nhé!
Đáp án:
Giải thích các bước giải:
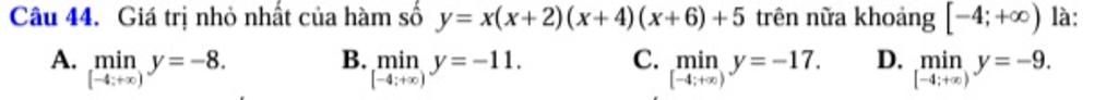
Chỗ y=x^4+12x^3+44x^2 +48x+5 là bạn nhân đa thức, khai triển đề bài ra là được. Sau đó tính đạo hàm, cho đạo hàm bằng 0 rồi xét dấu đạo hàm, cuối cùng là dựa vào bảng biến thiên để có giá trị nhỏ nhất
Hãy giúp mọi người biết câu trả lời này thế nào?
Bảng tin