

Hãy luôn nhớ cảm ơn và vote 5*
nếu câu trả lời hữu ích nhé!
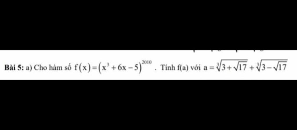
Đáp án+Giải thích các bước giải:
`a = \root{3}{3 + \root{}{17}} + \root{3}{3 - \root{}{17}}`
`a^3 = 3 + \root{}{17} + 3\root{3}{( 3 + \root{}{17})( 3 - \root{}{17} )}( \root{3}{3 + \root{}{17}} + \root{3}{3 - \root{}{17}} ) + 3 - \root{}{17}`
`a^3 = 6 + 3\root{3}{-8}a`
`a^3 = 6 - 6a`
`a^3 + 6a - 6 = 0`
`a^3 + 6a - 5 = 1 ( 1 )`
Ta có: `f( x ) = ( x^3 + 6x - 5 )^2016`
`f( a ) = ( a^3 + 6a - 5 )^2016 ( 2 )`
`( 1 ) ; ( 2 ) => f( a ) = 1`
Hãy giúp mọi người biết câu trả lời này thế nào?
Bảng tin