

Hãy luôn nhớ cảm ơn và vote 5*
nếu câu trả lời hữu ích nhé!
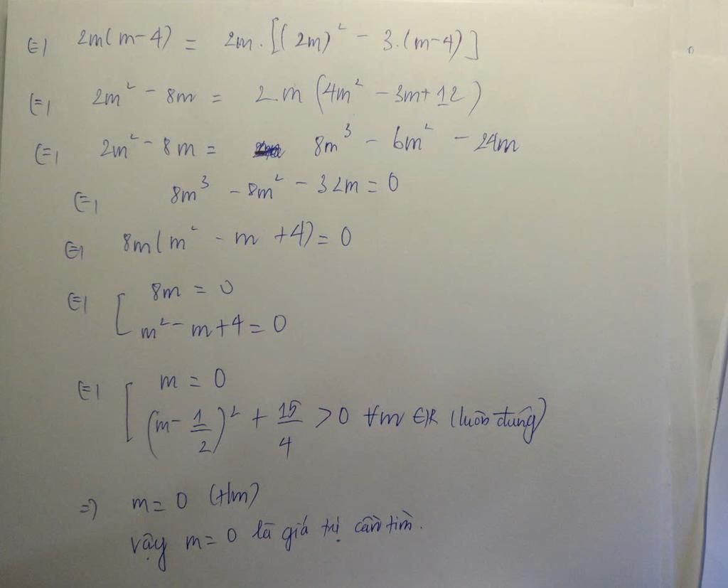
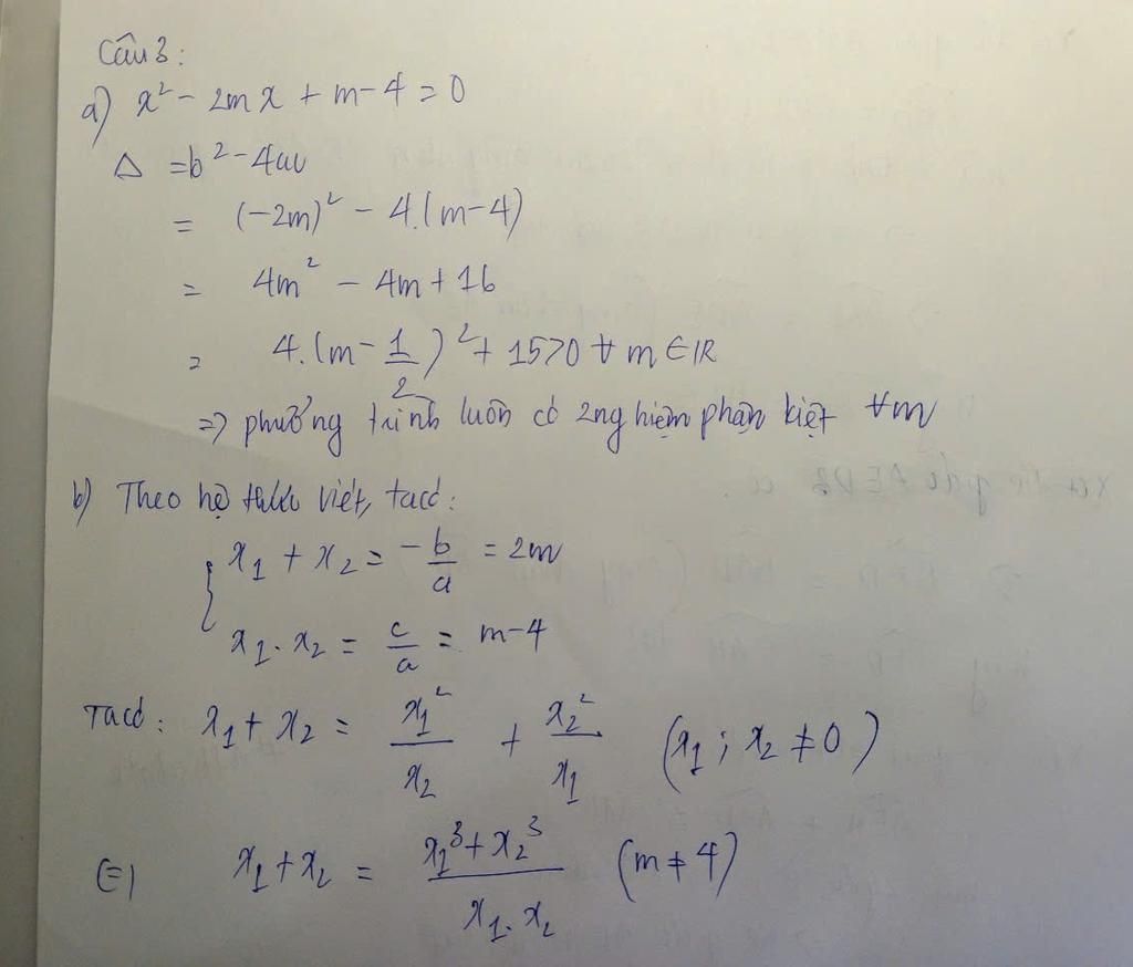
`\Delta=(2m)^2-4*1*(m-4)=4m^2-4m+16=(4m^2-4m+1)+15`
`=(2m-1)^2+15>=15>0` với mọi `m`
`->` Phương trình luôn có 2 nghiệm phân biệt
Theo vi-et ta có:
`x_1+x_2=2m`
`x_1x_2=m-4`
Vì: `x_1x_2\ne0=>m-4\ne0=>m\ne4`
Mà: `x_1+x_2=x_1^2/x_2+x_2^2/x_1`
`<=>x_1+x_2=(x_1^3+x_2^3)/(x_1x_2)`
`<=>x_1x_2(x_1+x_2)=x_1^3+x_2^3`
`<=>x_1x_2(x_1+x_2)=(x_1+x_2)^3-3x_1x_2(x_1+x_2)`
`<=>4x_1x_2(x_1+x_2)=(x_1+x_2)^3`
`<=>4*2m*(m-4)=(2m)^3`
`<=>8m^3=8m^2-32m`
`<=>8m^3-8m^2+32m=0`
`<=>8m(m^2-m+4)=0`
Vì: `m^2-m+4>0`
`=>8m=0<=>m=0(N)`
Vây: `m=0`
Hãy giúp mọi người biết câu trả lời này thế nào?
Bảng tin