

Hãy luôn nhớ cảm ơn và vote 5*
nếu câu trả lời hữu ích nhé!
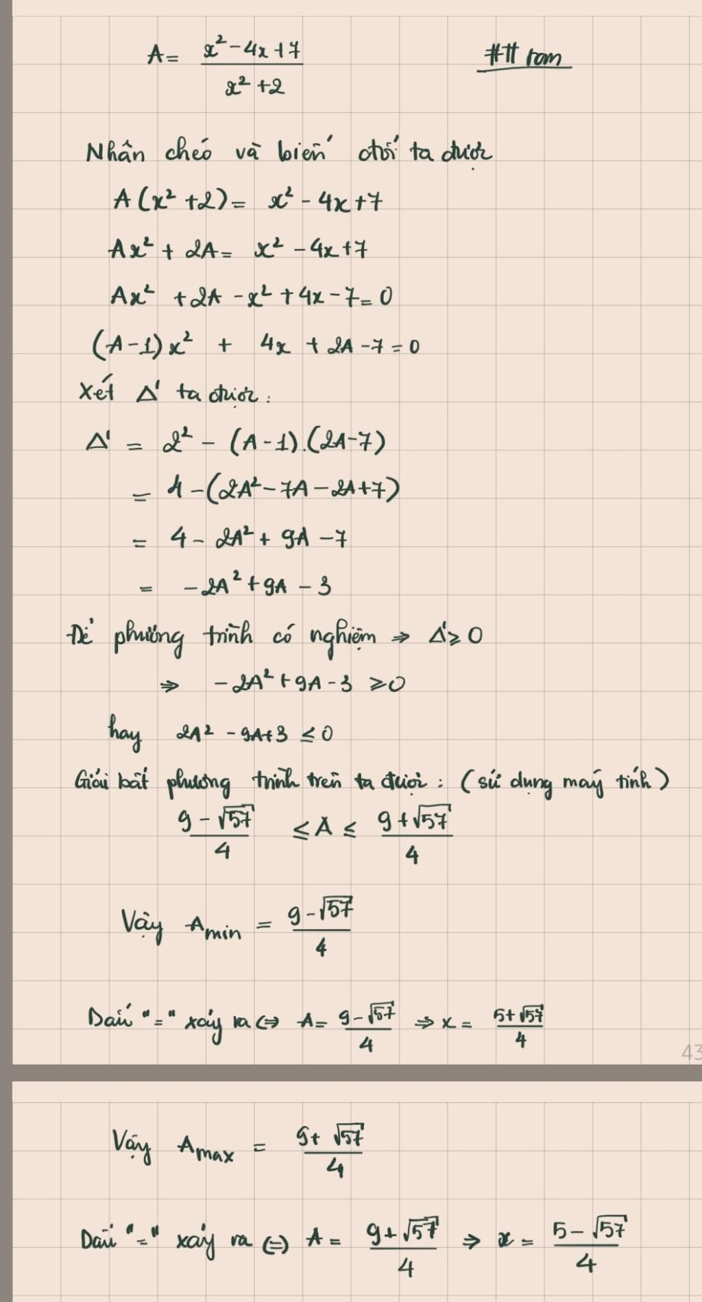
`A=(x^2-4x+7)/(x^2+2)`
`Ax^2+2A=x^2-4x+7`
`(A-1)x^2+4x+2A-7=0`
`Delta'=4-(A-1)(2A-7)`
`=-2A^2+9A-3`
Để phương trình có nghiệm `=>Delta>=0`
`=>Delta=-2(A^2-9/2A+81/16)+57/8`
`=-2(A-9/4)^2+57/8`
`=-2((A-9/4)^2-57/16)`
`=-2(A-9/4-sqrt57/4)((A-9/4+sqrt57/4)`
`=-2(A-(9+sqrt57)/4)(A-(9-sqrt57)/4)>=0`
`=>(9-sqrt57)/4<=A<=(9+sqrt57)/4`
Với `A>=(9-sqrt57)/4`
Dấu bằng xảy ra khi
`A-(9-sqrt57)/4=((-5+sqrt57)x^2-16x+(10+2sqrt57))/(4x^2+8)=(x-(5+sqrt57)/4)^2/(4x^2+8)=0`
`=>x-(5+sqrt57)/4=0`
`x=(5+sqrt57)/4`
Với `A<=(5+sqrt57)/4`
DBXR khi
`A-(9+sqrt57)/4=((-5-sqrt57)x^2-16x+(10-2sqrt57))/(4x^2+8)=(x-(5-sqrt57)/4)^2/(4x^2+8)=0`
`=>x-(5-sqrt57)/4=0`
`x=(5-sqrt57)/4`
Hãy giúp mọi người biết câu trả lời này thế nào?
Bảng tin
812
108
711
7972561 múc nè có gthich dou 🐧thế đủ ròi a iu
26286
327643
17554
-.- Nào gì đấy:))
26286
327643
17554
Với `A\ge\frac{9-\sqrt{57}}{4}` `->A_{min}=\frac{9-\sqrt{57}}{4}` Dấu "=" xảy ra khi và chỉ khi: `A=\frac{9-\sqrt{57}}{4}->\frac{x^{2}-4x+7}{x^{2}+2}=\frac{9-\sqrt{57}}{4}` `(9-\sqrt{57}).(x^{2}+2)=(x^{2}-4x+7).4` `(9-\sqrt{57}).x^{2}+18-2\sqrt{57}=4x^{2}-16x+28` `(9-\sqrt{57}-4).x^{2}+16x-10-2\sqrt{57}=0` `(5-\sqrt{57}).x^{2}+16x-2.(5+\sqrt{57})=0` `x^{2}+\frac{16}{5-\sqrt{57}}.x-2.\frac{5+\sqrt{57}}{5-\sqrt{57}}=0` `x^{2}-\frac{5+\sqrt{57}}{2}.x+\frac{41+5\sqrt{57}}{8}=0` `x^{2}-2.x.\frac{5+\sqrt{57}}{4}+(\frac{5+\sqrt{57}}{4})^{2}=0` `(x-\frac{5+\sqrt{57}}{4})^{2}=0` `x-\frac{5+\sqrt{57}}{4}=0` Rút gọnVới `A\ge\frac{9-\sqrt{57}}{4}` `->A_{min}=\frac{9-\sqrt{57}}{4}` Dấu "=" xảy ra khi và chỉ khi: `A=\frac{9-\sqrt{57}}{4}->\frac{x^{2}-4x+7}{x^{2}+2}=\frac{9-\sqrt{57}}{4}` `(9-\sqrt{57}).(x^{2}+2)=(x^{2}-4x+7).4` `(9-\sqrt{57}).x^{2}+18-2\sqrt{57... xem thêm
812
108
711
nma dài lắm aiuuuu
812
108
711
th để e sửa 😔😔 😔
26286
327643
17554
Max `A` chỗ dấu "=" xảy ra sai kìa
812
108
711
mỏi tay quá hự hự
26286
327643
17554
Haizz mệt với ní này quá