

helpppppppppppppppppppppppppp
Hãy luôn nhớ cảm ơn và vote 5*
nếu câu trả lời hữu ích nhé!
Đáp án`:`
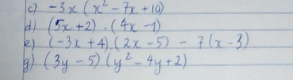
`c.` `-3x(x^2-7x+10)=-3 x^3+21x^2-30x`
`d.` `(5x+2)(4x-1)`
`=5x.4x-5x.1+2.4x-2.1`
`=20 x^2-5x+8x-2`
`=20x^2+3x-2`
`e.`
`(-3x+4)(2x-5)-7(x-3)`
`=-6x^2+15x+8x-20-7x+21`
`=-6x^2+16x+1`
`g.`
`(3y-5)(y^2-4y+2)`
`=3 y^3-12y^2+6y-5y^2+20y-10`
`=3y^3-17y^2+26y-10`
Hãy giúp mọi người biết câu trả lời này thế nào?
Đáp án `+` Giải thích các bước giải:
`c, -3x(x^2 - 7x + 10)`
`= -3x . x^2 - 3x . (-7x) + (-3x) . 10`
`= -3x^3 + 21x^2 - 30x`
`d, (5x + 2)(4x - 1)`
`= 5x(4x - 1) + 2(4x - 1)`
`= 5x . 4x - 5x . 1 + 2 . 4x - 2`
`= 20x^2 - 5x + 8x - 2`
`= 20x^2 + 3x - 2`
`e, (-3x + 4)(2x - 5) - 7(x - 3)`
`= -3x(2x - 5) + 4(2x - 5) - 7 . x + 7 . 3`
`= -3x . 2x - 3x . (-5) + 4 . 2x - 4 . 5 - 7x + 21`
`= -6x^2 + 15x + 8x - 20 - 7x + 21`
`= -6x^2 + 16x + 1`
`g, (3y - 5)(y^2 - 4y + 2)`
`= 3y(y^2 - 4y + 2) - 5(y^2 - 4y + 2)`
`= 3y . y^2 - 3y . 4y + 3y . 2 - 5 . y^2 - 5 . (-4y) - 5 . 2`
`= 3y^3 - 12y^2 + 6y - 5y^2 + 20y - 10`
`= 3y^3 - 17y^2 + 26y - 10`
Hãy giúp mọi người biết câu trả lời này thế nào?
Bảng tin