

Hãy luôn nhớ cảm ơn và vote 5*
nếu câu trả lời hữu ích nhé!
Đáp án `+` Giải thích các bước giải:
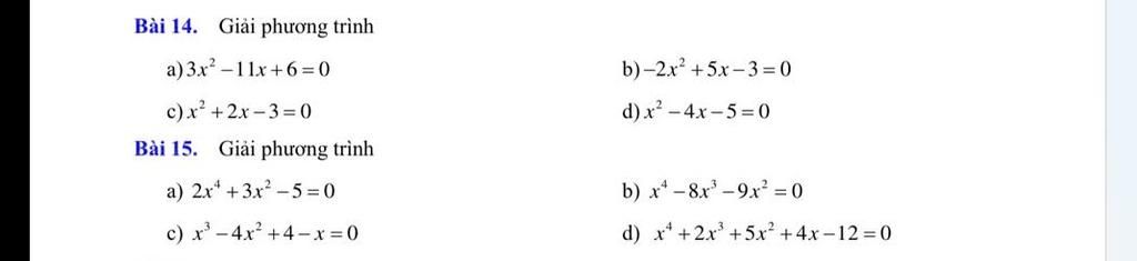
Bài `14 :`
`a, 3x^2 - 11x + 6 = 0`
`⇔ 3x^2 - 2x - 9x + 6 = 0`
`⇔ x(3x - 2) - 3(3x - 2) = 0`
`⇔ (x - 3)(3x - 2) = 0`
`⇔ x - 3 = 0` hoặc `3x - 2 = 0`
`⇔ x = 3` hoặc `3x = 2`
`⇔ x = 3` hoặc `x = 2/3`
Vậy `x in {3 , 2/3}` là nghiệm của phương trình.
`b, -2x^2 + 5x - 3 = 0`
`⇔ 2x^2 - 5x + 3 = 0`
`⇔ 2x^2 - 2x - 3x + 3 = 0`
`⇔ 2x(x - 1) - 3(x - 1) = 0`
`⇔ (2x - 3)(x - 1) = 0`
`⇔ 2x - 3 = 0` hoặc `x - 1 = 0`
`⇔ 2x = 3` hoặc `x = 1`
`⇔ x = 3/2` hoặc `x = 1`
Vậy `x in {3/2 , 1}` là nghiệm của phương trình.
`c, x^2 + 2x - 3 = 0`
`⇔ x^2 + 3x - x - 3 = 0`
`⇔ x(x + 3) - 1(x + 3) = 0`
`⇔ (x - 1)(x + 3) = 0`
`⇔ x - 1 = 0` hoặc `x + 3 = 0`
`⇔ x = 1` hoặc `x = -3`
Vậy `x in {1 , -3}` là nghiệm của phương trình.
`d, x^2 - 4x - 5 = 0`
`⇔ x^2 - 5x + x - 5 = 0`
`⇔ x(x - 5) + 1(x - 5) = 0`
`⇔ (x + 1)(x - 5) = 0`
`⇔ x + 1 = 0` hoặc `x - 5 = 0`
`⇔ x = -1` hoặc `x = 5`
Vậy `x in {-1 , 5}` là nghiệm của phương trình.
`@@@@@@@@@@@@@@@@@@@@@@@@@@`
Bài `15 :`
`a, 2x^4 + 3x^2 - 5 = 0`
`⇔ 2x^4 + 5x^2 - 2x^2 - 5 = 0`
`⇔ x^2(2x^2 + 5) - 1(2x^2 + 5) = 0`
`⇔ (x^2 - 1)(2x^2 + 5) = 0`
`⇔ (x - 1)(x + 1)(2x^2 + 5) = 0`
Vì `x^2 ≥ 0 -> 2x^2 ≥ 0 -> 2x^2 + 5 ≥ 5 ∀ x`
`⇔ x - 1 = 0` hoặc `x + 1 = 0` hoặc `2x^2 + 5 = 0`
`⇔ x = 1` hoặc `x = -1`
Vậy `x in {1 , -1}` là nghiệm của phương trình.
`b, x^4 - 8x^3 - 9x^2 = 0`
`⇔ x^2(x^2 - 8x - 9) = 0`
`⇔ x^2(x^2 + 9x - x - 9) = 0`
`⇔ x^2[x(x + 9) - 1(x + 9)] = 0`
`⇔ x^2(x - 1)(x + 9) = 0`
`⇔ x^2 = 0` hoặc `x - 1 = 0` hoặc `x + 9 = 0`
`⇔ x = 0` hoặc `x = 1` hoặc `x = -9`
Vậy `x in {0 , 1 , -9}` là nghiệm của phương trình.
`c, x^3 - 4x^2 + 4 - x = 0`
`⇔ x^3 - 4x^2 - x + 4 = 0`
`⇔ x^2(x - 4) - 1(x - 4) = 0`
`⇔ (x^2 - 1)(x - 4) = 0`
`⇔ (x - 1)(x + 1)(x - 4) = 0`
`⇔ x - 1 = 0` hoặc `x + 1 = 0` hoặc `x - 4 = 0`
`⇔ x = 1` hoặc `x = -1` hoặc `x = 4`
Vậy `x in {1 , -1 , 4}` là nghiệm của phương trình.
`d, x^4 + 2x^3 + 5x^2 + 4x - 12 = 0`
`⇔ x^4 + x^3 + x^3 + 6x^2 + x^2 - 2x^2 + 6x - 2x - 12 = 0`
`⇔ x^4 + x^3 + 6x^2 + x^3 + x^2 + 6x - 2x^2 - 2x - 12 = 0`
`⇔ x^2(x^2 + x + 6) + x(x^2 + x + 6) - 2(x^2 + x + 6) = 0`
`⇔ (x^2 + x - 2)(x^2 + x + 6) = 0`
`⇔ (x^2 + 2x - x - 2)(x^2 + x + 6) = 0`
`⇔ [x(x + 2) - 1(x + 2)](x^2 + x + 6) = 0`
`⇔ (x - 1)(x + 2)(x^2 + x + 6) = 0`
Ta có: `x^2 + x + 6 = 0`
`⇔ x^2 + x + 1/4 + 23/4 = 0`
`⇔ (x + 1/2)^2 + 23/4 = 0`
Vì `(x + 1/2)^2 ≥ 0 -> (x + 1/2)^2 + 23/4 ≥ 23/4 ∀ x`
`⇔ (x - 1)(x + 2) = 0`
`⇔ x - 1 = 0` hoặc `x + 2 = 0`
`⇔ x = 1` hoặc `x = -2`
Vậy `x in {1 , -2}` là nghiệm của phương trình.
Hãy giúp mọi người biết câu trả lời này thế nào?
Bài 14:
a) `3x^2 - 11x + 6 = 0`
`(3x^2 - 9x) - (2x - 6) = 0`
`3x (x - 3) - 2 (x-3) = 0`
`(3x - 2) (x-3) = 0`
Suy ra: `3x - 2 = 0` hoặc `x - 3 = 0`
`3x = 2` hoặc `x = 3`
`x = 2/3` hoặc `x = 3`
Vậy, phương trình có hai nghiệm `x = 2/3`; `x = 3`
b) `-2x^2 + 5x - 3 = 0`
`(-2x^2 + 2x) + (3x - 3) = 0`
`-2x (x-1) + 3 (x-1) = 0`
`(-2x+3) (x-1) = 0`
Suy ra: `-2x + 3 = 0` hoặc `x - 1 = 0`
`-2x = -3` hoặc `x = 1`
`x = 3/2` hoặc `x= 1`
Vậy, phương trình có hai nghiệm `x = 3/2`; `x = 1`
c) `x^2 + 2x - 3 = 0`
`(x^2 + 3x) - (x+3) = 0`
`x (x+3) - 1 (x+3) = 0`
`(x-1)(x+3) = 0`
Suy ra: `x - 1 = 0` hoặc `x + 3 = 0`
`x = 1` hoặc `x = -3`
Vậy, phương trình có hai nghiệm `x = 1`; `x = -3`
d) `x^2 - 4x - 5 = 0`
`(x^2 - 5x) + (x-5) = 0`
`x (x-5) + (x-5) = 0`
`(x+1)(x-5) = 0`
Suy ra: `x + 1 = 0` hoặc `x - 5 = 0`
`x = -1` hoặc `x = 5`
Vậy, phương trình có hai nghiệm `x = -1`; `x = 5`
Bài 15:
a) `2x^4 + 3x^2 - 5 = 0`
`(2x^4 + 5x^2) - (2x^2 + 5) = 0`
`x^2 (2x^2 + 5) - 1 (2x^2 + 5) = 0`
`(x^2 - 1)(2x^2 + 5) = 0`
Suy ra: `x^2 - 1 = 0` hoặc `2x^2 + 5 = 0`
`(x-1)(x+1) = 0` hoặc `2x^2 = -5` (vô lí)
`x - 1 = 0` hoặc `x + 1 = 0`
`x = 1` hoặc `x = -1`
Vậy, phương trình có hai nghiệm `x = 1`; `x = -1`
b) `x^4 - 8x^3 - 9x^2 = 0`
`x^2 (x^2 - 8x - 9) = 0`
`x^2 [(x^2 - 9x) + (x - 9)] = 0`
`x^2 [x (x-9) + 1 (x-9)] = 0`
`x^2 (x+1) (x-9) = 0`
Suy ra: `x^2 = 0` hoặc `x +1 = 0` hoặc `x - 9 = 0`
`x = 0` hoặc `x = -1` hoặc `x = 9`
Vậy, phương trình có ba nghiệm `x = 0`; `x = -1`; `x = 9`
c) `x^3 - 4x^2 + 4 - x = 0`
`(x^3 - 4x^2) + (4-x) =0`
`x^2 (x-4) - (x-4) = 0`
`(x^2 - 1) (x-4) = 0`
`(x-1)(x+1)(x-4) = 0`
Suy ra: `x - 1 = 0` hoặc `x + 1 = 0` hoặc `x - 4 = 0`
`x = 1` hoặc `x = -1` hoặc `x =4`
Vậy, phương trình có ba nghiệm `x = 1`; `x = -1`; `x = 4`
d) `x^4 + 2x^3 + 5x^2 + 4x - 12 = 0`
`(x^4 - x^3) + (3x^3 - 3x^2) + (8x^2 - 8x) + (12x - 12) = 0`
`x^3 (x-1) + 3x^2 (x-1) + 8x (x-1) + 12 (x-1) = 0`
`(x^3 + 3x^2 + 8x + 12) (x-1) = 0`
`[(x^3 + 2x^2) + (x^2 + 2x) + (6x + 12)] (x-1) = 0`
`[x^2 (x+2) + x (x+2) + 6 (x+2)] (x-1) = 0`
`(x^2 + x + 6)(x+2) (x-1) = 0`
Suy ra: `x^2 + x + 6 = 0` hoặc `x + 2 = 0` hoặc `x - 1 = 0`
+) Trường hợp 1: `x^2 + x + 6 = 0`
Ta có:
`x^2 + x + 6 = [x^2 + 2 . 1/2 . x + (1/2)^2] + 23/4 = (x+1/2)^2 + 23/4 >= 23/4 > 0`
Suy ra: `x^2 + x + 6 = 0` vô nghiệm
+) Trường hợp 2: `x + 2 = 0`
`x = -2`
+) Trường hợp 3: `x - 1 = 0`
`x = 1`
Vậy, phương trình có hai nghiệm `x = -2`; `x = 1`
Hãy giúp mọi người biết câu trả lời này thế nào?
Bảng tin