

Mọi người ơi tại sao biểu thức dòng trên làm như thế nào để ra dòng dưới vậy?mình ko hiểu lắm,giúp mình pls
Hãy luôn nhớ cảm ơn và vote 5*
nếu câu trả lời hữu ích nhé!
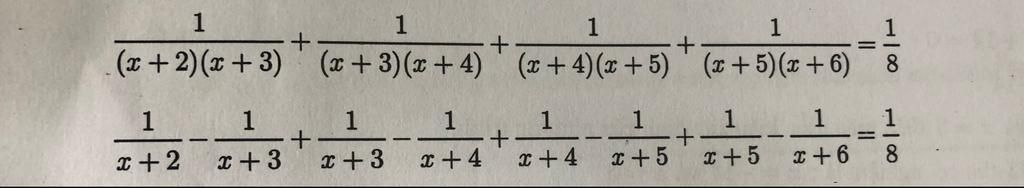
Tại vì:
`1/((x+2)(x+3))=((x+3)-(x+2))/((x+2)(x+3))=1/(x+2)-1/(x+3)`
`1/((x+3)(x+4))=((x+4)-(x+3))/((x+3)(x+4))=1/(x+3)-1/(x+4)`
`1/((x+4)(x+5))=((x+5)-(x+4))/((x+4)(x+5))=1/(x+4)-1/(x+5)`
`1/((x+5)(x+6))=((x+6)-(x+5))/((x+5)(x+6))=1/(x+5)-1/(x+6)`
Áp dụng theo công thức:
`n/(a(a+n))=((a+n)-a)/(a(a+n))=(a+n)/(a(a+n))-a/(a(a+n))=1/a-1/(a+n)`
Hãy giúp mọi người biết câu trả lời này thế nào?
![]()
Đáp án+Giải thích các bước giải:
`1/((x+2)(x+3))=((x+3)-(x+2))/((x+2)(x+3))=1/(x+2)-1/(x+3)`
`1/((x+3)(x+4))=((x+4)-(x+3))/((x+3)(x+4))=1/(x+3)-1/(x+4)`
`1/((x+4)(x+5))=((x+5)-(x+4))/((x+4)(x+5))=1/(x+4)-1/(x+5)`
`1/((x+5)(x+6))=((x+6)-(x+5))/((x+5)(x+6))=1/(x+5)-1/(x+6)`
Hãy giúp mọi người biết câu trả lời này thế nào?
![]()
Bảng tin
886
5768
1079
dậy đi đoàn nè ngdep ơi, ngủ lắm.