Vui lòng chỉ chọn một câu hỏi
Hoidap247.com Nhanh chóng, chính xác
+
Danh mục mới
1740
10242
1264
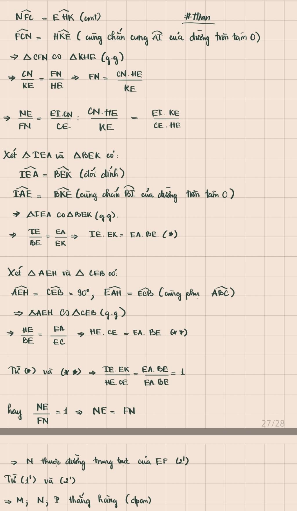
Chỉ cần chứng minh 3 điểm M, N, P thẳng hàng thui a
Hãy luôn nhớ cảm ơn và vote 5* nếu câu trả lời hữu ích nhé!
74
2198
28
Chúc bạn học tốt nhe!!
Hãy giúp mọi người biết câu trả lời này thế nào?
Xem thêm:
Xem thêm
Bảng tin
Gửi yêu cầu Hủy