

Hãy luôn nhớ cảm ơn và vote 5*
nếu câu trả lời hữu ích nhé!
Đáp án:
`T=29/24`
Giải thích các bước giải:
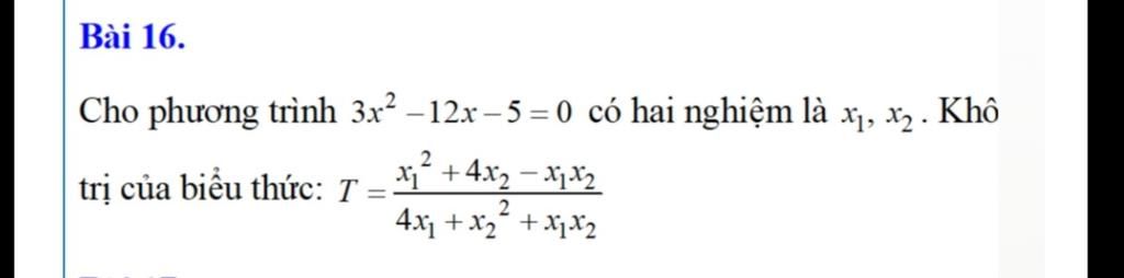
Bài `16:`
Ta cho `PT(1)` là: `3x^{2}-12x-5=0`
Có: `a=3;b=-12;b'=-6;c=-5`
Ta xét: `\Delta'=b'^{2}-ac=(-6)^{2}-3.(-5)=51>0`
`+)` Theo hệ thức Vi-ét ta có: `x_{1}+x_{2}=-b/a=-\frac{-12}{3}=4`
và `x_{1}.x_{2}=c/a=-5/3`
`+)` Vì `x_{1}` là nghiệm của `PT(1)` nên:
`PT(1)->3x_{1}^{2}-12x_{1}-5=0`
`->3x_{1}^{2}=12x_{1}+5`
`->x_{1}^{2}=4x_{1}+5/3`
`+)` Vì `x_{2}` là nghiệm của `PT(1)` nên:
`PT(1)->3x_{2}^{2}-12x_{2}-5=0`
`->3x_{2}^{2}=12x_{2}+5`
`->x_{2}^{2}=4x_{2}+5/3`
`+)` Ta xét: `T=\frac{x_{1}^{2}+4x_{2}-x_{1}x_{2}}{4x_{1}+x_{2}^{2}+x_{1}x_{2}}`
`=\frac{4x_{1}+5/3+4x_{2}-x_{1}x_{2}}{4x_{1}+4x_{2}+5/3+x_{1}x_{2}}`
`=\frac{4.(x_{1}+x_{2})+5/3-x_{1}x_{2}}{4.(x_{1}+x_{2])+5/3+x_{1}x_{2}}`
`=\frac{4.4+5/3-(-5/3)}{4.4+5/3+(-5/3)}`
`=\frac{16+10/3}{16}`
`=58/3:16`
`=29/24`
Vậy `T=29/24`
Hãy giúp mọi người biết câu trả lời này thế nào?
Bảng tin