

giúp em với ạ
em đang cần gấppppp
Hãy luôn nhớ cảm ơn và vote 5*
nếu câu trả lời hữu ích nhé!
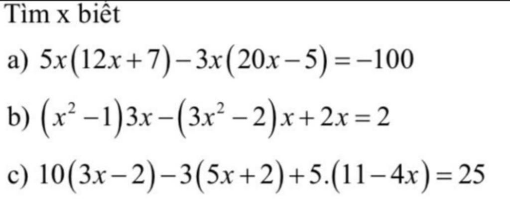
a, `5x(12x+7)-3x(20x-5)=-100`
`=> 60x^2+35x-60x^2+15x=-100`
`=> (60x^2-60x^2)+(35x+15x)=-100`
`=> 50x=-100`
`=> x=-100:50`
`=> x=-2`
Vậy `x=-2`
b, `(x^2-1)3x-(3x^2-2)x+2x=2`
`=> 3x^3-3x-3x^3+2x+2x=2`
`=> (3x^3-3x^3)+(-3x+2x+2x)=2`
`=> x=2`
Vậy `x=2`
c, `10(3x-2)-3(5x+2)+5(11-4x)=25`
`=> 30x-20-15x-6+55-20x=25`
`=> (30x-15x-20x)+(-20-6+55)=25`
`=> -5x+29=25`
`=> 29-25=5x`
`=> 4=5x`
`=> x=4/5`
Vậy `x=4/5`
Hãy giúp mọi người biết câu trả lời này thế nào?
`a)5x(12x+7)-3x(20x-5)=-100`
`=>60x^2+35x-60x^2+15x=-100`
`=>50x=-100`
`=>x=-2`
Vậy: `x=-2`
``
`b)(x^2-1)3x-(3x^2-2)x+2x=2`
`=>3x^3-3x-3x^3+2x+2x=2`
`=>x=2`
Vậy: `x=2`
``
`c)10(3x-2)-3(5x+2)+5(11-4x)=25`
`=>30x-20-15x-6+55-20x=25`
`=>30x-15x-20x=25-55+6+20`
`=>-5x=-4`
`=>x=4/5`
Vậy: `x=4/5`
Hãy giúp mọi người biết câu trả lời này thế nào?
Bảng tin