

giup em voi mn ơi huhuhuuhuhuhuhuhuhuhuhuhuhuh
Hãy luôn nhớ cảm ơn và vote 5*
nếu câu trả lời hữu ích nhé!
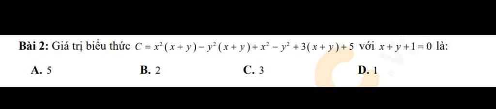
Đáp án+Giải thích các bước giải:
`C = x^2( x + y ) - y^2( x + y ) + x^2 - y^2 + 3( x + y ) + 5`
`C = ( x + y )( x^2 - y^2 ) + ( x^2 - y^2 ) + 3( x + y ) + 3 + 2`
`C = ( x^2 - y^2 )( x + y + 1 ) + 3( x + y + 1 ) + 2`
Với `x + y + 1 = 0` thay vào `C` có:
`C = 0 + 0 + 2`
`C = 2`
`=>` chọn `B`
Hãy giúp mọi người biết câu trả lời này thế nào?
Bảng tin