Vui lòng chỉ chọn một câu hỏi
Hoidap247.com Nhanh chóng, chính xác
+
Danh mục mới
0
20
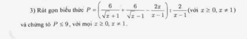
Cách rút gọn biểu thức
Hãy luôn nhớ cảm ơn và vote 5* nếu câu trả lời hữu ích nhé!
1909
36929
838
Đề Đồng Nai nèe hihi.
Hãy giúp mọi người biết câu trả lời này thế nào?
trời ơi, quê quá =))))))))))))))))))))))))))))))))))))))))))))))))))
1754
15562
1126
:)))lo lắng điểm văn dần điiiiii
lo mỗi ngày mà ông=)) tôi sai ngu 1 câu 1đ rồi, hết hi vọng r ông ơi!
:)) bà còn có anh vs toán nó kéo tôi có mỗi toán
=)))))))))))))))) Văn, Toán ông > 8, Anh > 6, chuyên > 5 cũng đủ đậu CLHP mà
chx bt thôi toiii đi ngủ đâyyyyyyyy
uk ngủ sớm đi mai thi thật tốt vào nhé Ngủ ngon.
❤❤💕💕
Xem thêm:
4219
2507
2800
`\bbcolor{skyblue}{♡Thanhh Thuyy♡}`
Bảng tin
Gửi yêu cầu Hủy
1909
36929
838
trời ơi, quê quá =))))))))))))))))))))))))))))))))))))))))))))))))))
1754
15562
1126
:)))lo lắng điểm văn dần điiiiii
1909
36929
838
lo mỗi ngày mà ông=)) tôi sai ngu 1 câu 1đ rồi, hết hi vọng r ông ơi!
1754
15562
1126
:)) bà còn có anh vs toán nó kéo tôi có mỗi toán
1909
36929
838
=)))))))))))))))) Văn, Toán ông > 8, Anh > 6, chuyên > 5 cũng đủ đậu CLHP mà
1754
15562
1126
chx bt thôi toiii đi ngủ đâyyyyyyyy
1909
36929
838
uk ngủ sớm đi mai thi thật tốt vào nhé Ngủ ngon.
1754
15562
1126
❤❤💕💕