Đăng nhập để hỏi chi tiết


Giúp tôi giải bài toán này
Hãy luôn nhớ cảm ơn và vote 5*
nếu câu trả lời hữu ích nhé!
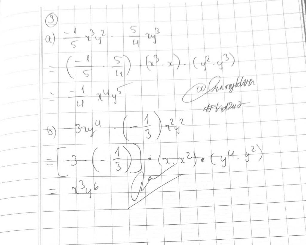
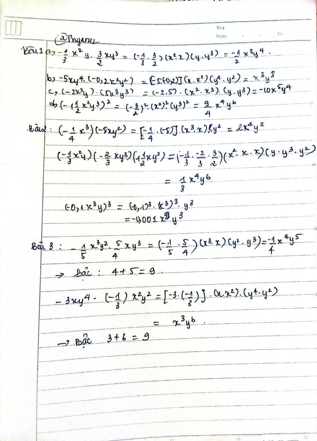
Câu 3 (Xác định bậc):
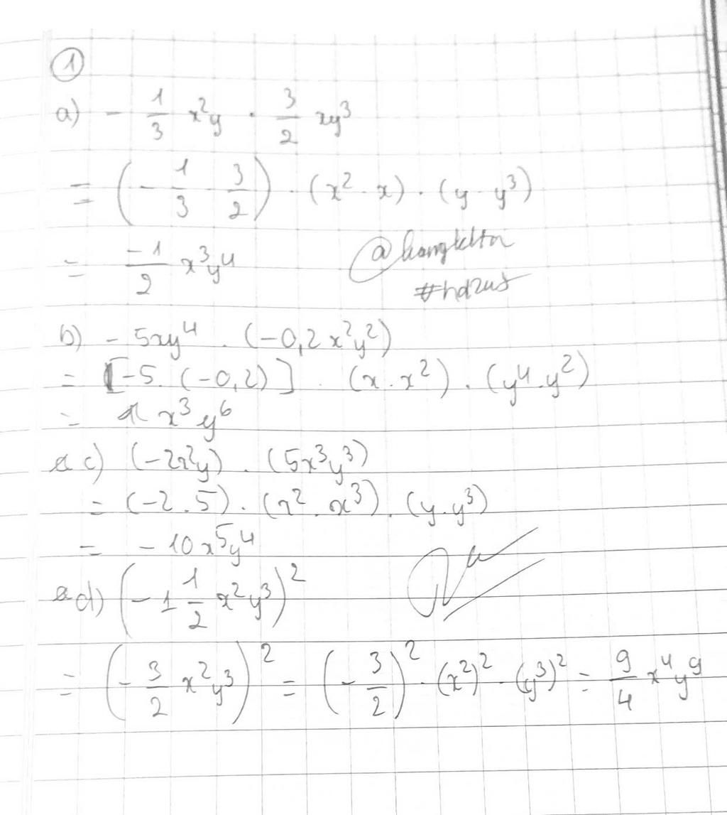
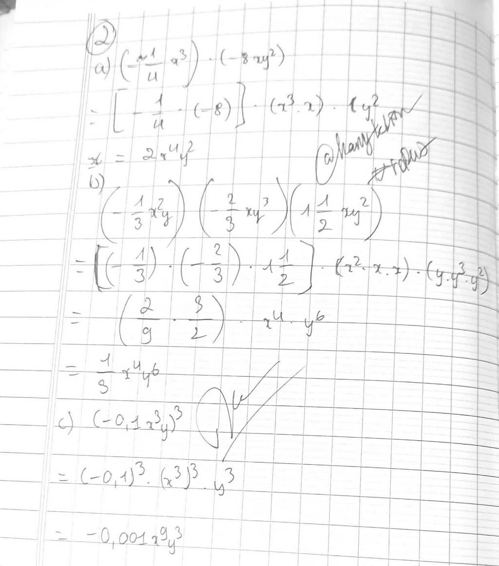
a) Bậc của đơn thức là `4 + 5 = 9`
b) Bậc của đơn thức là `3 + 6 = 9`
Hãy giúp mọi người biết câu trả lời này thế nào?
Bảng tin
8644
111576
5937
Bài cuối chỉ bậc
3605
703
1763
Em quên, thanks chị Ngân nhiều ạ :3😊
3605
703
1763
Chị chụp chế độ gì nhìn đẹp dọ, em cũng muốn chụp kiểu đó á chị 😔
8644
111576
5937
Scan ra rồi chọn bộ lọc â mom
3605
703
1763
Ủa hay dọ :3
3605
703
1763
Để tí nữa em test :))))