

Hãy luôn nhớ cảm ơn và vote 5*
nếu câu trả lời hữu ích nhé!
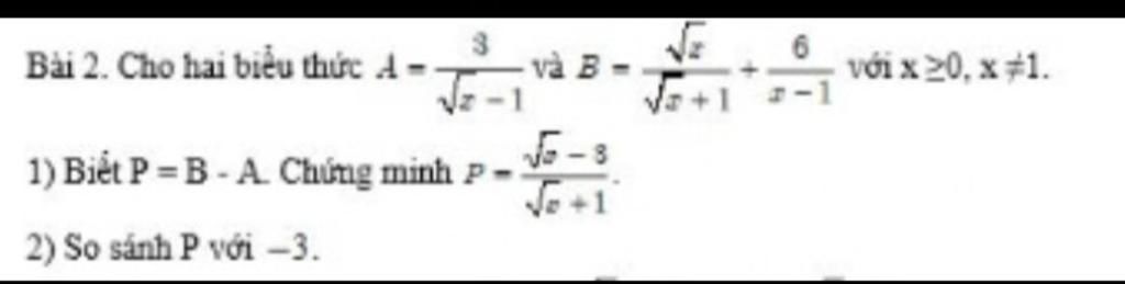
Đáp án:
`P≥-3`
Giải thích các bước giải:
`2,`
`P -(-3)`
`= P+3`
`= (\sqrt{x} -3)/(\sqrt{x}+1) +3`
`= (\sqrt{x} -3 +3(\sqrt{x}+1))/(\sqrt{x}+1)`
`= (\sqrt{x} -3 +3\sqrt{x}+3)/(\sqrt{x}+1)`
`= (4\sqrt{x})/(\sqrt{x}+1)`
Vì `x≥0 (ĐKXĐ)`
`\sqrt{x} ≥0 ∀x ∈ĐKXĐ`
`\sqrt{x}+1 >0 ∀x ∈ĐKXĐ`
Mà `x≥0 (ĐKXĐ)`
`\sqrt{x} ≥0 ∀x ∈ĐKXĐ`
`4\sqrt{x} ≥0 ∀x ∈ĐKXĐ`
Nên `(4\sqrt{x})/(\sqrt{x}+1) ≥0 ∀x ∈ĐKXĐ`
`P+3≥0`
`P≥-3`
Vậy `P≥-3`
Hãy giúp mọi người biết câu trả lời này thế nào?
Bảng tin
4170
81
3120
mod ơi bn nghải dương đg có nhu cầu kím ny á mod là ny bn ấy nhék ><
260
250
209
lần đầu thấy =)))