

Hãy luôn nhớ cảm ơn và vote 5*
nếu câu trả lời hữu ích nhé!
Đáp án `+` Giải thích các bước giải:
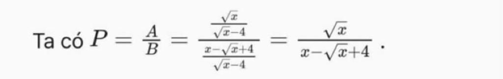
Có: `P = sqrt{x}/(x - sqrt{x} + 4}`
`P = (sqrt{x} : sqrt{x})/((x - sqrt{x} + 4) : sqrt{x})`
`P = 1/(sqrt{x} - 1 + 4/sqrt{x})`
Với mọi `a,b >= 0`, có:
`(sqrt{a} - sqrt{b})^2 >= 0 `
`a - 2sqrt{ab} + b >= 0`
`a + b >= 2sqrt{ab}`
Dấu bằng xảy ra khi `a = b`
Suy ra: `sqrt{x} + 4/sqrt{x} >= 2sqrt{sqrt{x} . 4/sqrt{x}} = 2 . sqrt{4} = 2 . 2 = 4`
`sqrt{x} + 4/sqrt{x} - 1 >= 4 - 1 = 3`
`1/(sqrt{x} + 4/sqrt{x} - 1) <= 1/3`
Hay `P <= 1/3`
`=> P_(max) = 1/3`. Dấu bằng xảy ra khi:
`sqrt{x} = 4/sqrt{x}`
`x = 4` `(nhận)`
Vậy `P_(max) = 1/3` khi `x = 4`
Hãy giúp mọi người biết câu trả lời này thế nào?

Ta có `:`
`P=A/B=(sqrtx)/(x-sqrtx+4)`
`->P=1/(sqrtx-1+4/(sqrtx))`
Để `P` max thì `1/(sqrtx-1+4/(sqrtx))` max
Hay `sqrtx-1+4/(sqrtx)` min
Áp dụng `BĐT` Cô si ta có `:`
`sqrtx+4/(sqrtx)>=2.sqrt(sqrtx . 4/(sqrtx))=4`
`->sqrtx-1+4/(sqrtx)>=4-1=3`
Hay `P<=1/3`
`->Max_P=1/3` khi `sqrtx=4/(sqrtx)->x=4` Thỏa mãn điều kiện
Hãy giúp mọi người biết câu trả lời này thế nào?
Bảng tin