

Hãy luôn nhớ cảm ơn và vote 5*
nếu câu trả lời hữu ích nhé!
Đáp án `+` Giải thích các bước giải:
`bb (4A.)`
`a) (8/3)^8 . (9/4)^8`
`= (8/3 . 9/4)^8`
`= 6^8`
`b) (3/7)^12 . (21/5)^12`
`= (3/7 . 21/5)^12`
`= (9/5)^12`
`c) (-4/13)^5 . (26/5)^5`
`= (-4/13 . 26/5)^5`
`= (-8/5)^5`
`d) (-10/3)^4 : (-5/6)^4`
`= [(-10/3) : (-5/6)]^4`
`= 4^4`
`= 256`
`e) (4/7)^19 : (-21/35)^19`
`= [4/7 : (-21/35)]^19`
`= (-20/21)^19`
`f) (-4/7)^11 : (16/(-28))^11`
`= [(-4/7) : (-16/28)]^11`
`= 1^11`
`= 1`
``
`bb (4B)`
`a) (1/5)^5 . 5^5`
`= (1/5 . 5)^5`
`= 1^5`
`= 1`
`b) (2/5)^9 . 5^9`
`= (2/5 . 5)^9`
`= 2^9`
`= 512`
`c) (4/9)^3 . (3/2)^3`
`= (4/9 . 3/2)^3`
`= (2/3)^3`
`= 8/27`
`d) (-11/4)^2 : (22/8)^2`
`= (-11/4 : 22/8)^2`
`= (-1)^2`
`= 1`
`e) (5/8)^3 : (-35/22)^3`
`= [5/8 : (-35/22)]^3`
`= (-11/28)^3`
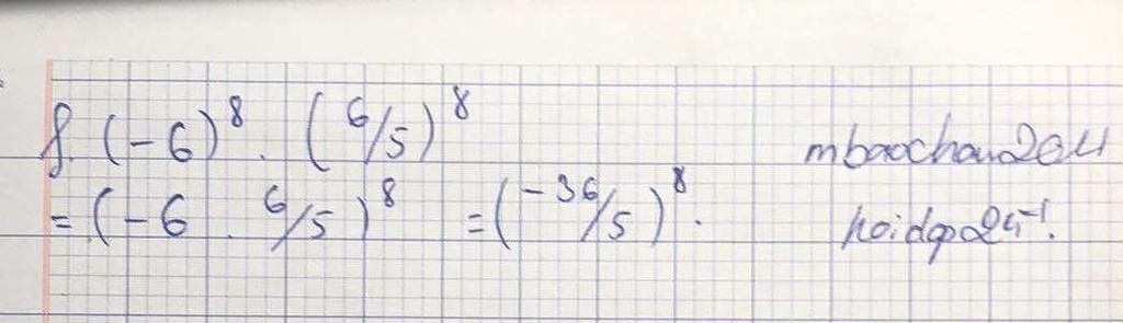
`f) (-6)^8 : (6/5)^8`
`= (-6 : 6/5)^8`
`= (-5)^8`
Hãy giúp mọi người biết câu trả lời này thế nào?
Bảng tin
66
419
45
tạo giúp em 1 nhóm dc hok ạ
4669
43361
2896
dạ k ạ
66
419
45
đi mà
66
419
45
năn nỉ anh á tạo giúp em đi