

cíu ik ikiki ik sắp thi rồi phải ôn tập :((
Hãy luôn nhớ cảm ơn và vote 5*
nếu câu trả lời hữu ích nhé!
Đáp án + Giải thích các bước giải:
[ Hình ảnh]
Ảnh $1$: Những lưu ý và giải thích cho bước làm
Ảnh $2$: Giải câu $a,$
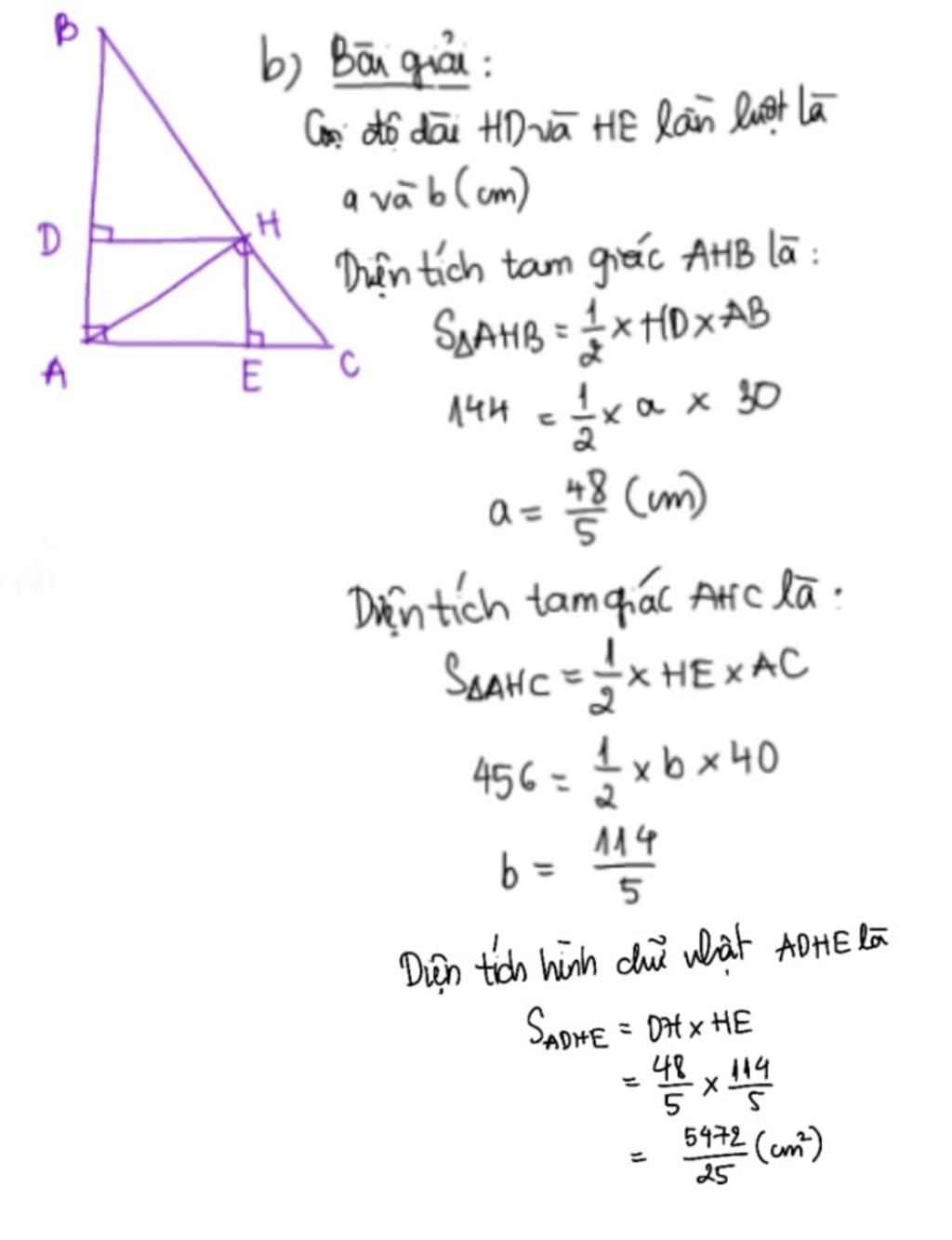
Ảnh $3$: Tư duy giải câu $b,$
Ảnh $4$: Giải câu $b,$
Ảnh $5$: Đáp số
Ảnh $6$: ký
$\textit{Không hiểu comment mình giải thích!!!}$
Hãy giúp mọi người biết câu trả lời này thế nào?

Bảng tin

146
854
108
Kết quả gì$?$
146
854
108
Để t đi kiếm điểm r tặng m, nc thú vị phết
82
2187
83
kq thử thách, dành cho nhưng ng ko điểm mua chill nhưng lại là ng thông minh ( rất nhân văn, mong mọi ng tặng chill 500 để tus có động lực tạo ra những thử thách khác, và các thử thách là miễn phí ko cần đóng chill nha, thua cx ko cần)
82
2187
83
à, bạn quảng cáo giùm mk luôn, kêu mọi người tới đây tham gia ai cx đc luật: ko dùng chatgpt nhé, ko chán lắm và làm v cx ko còn nhân văn nx
146
854
108
Thôi mình off, bye
146
854
108
Mà tcn đừng ghi từ $\textit{vĩnh biệt}$ nghe ghê lắm
82
2187
83
nhớ quảng cáo
5
257
2
e cám ơn mn ạ em đc thủ khoa rùi :)