

Hãy luôn nhớ cảm ơn và vote 5*
nếu câu trả lời hữu ích nhé!
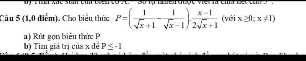
a)
`P = ( 1/(sqrt(x) + 1) - 1/(sqrt(x) - 1) ) . (x- 1)/(2sqrt(x) + 1)`
`P = [ (sqrt(x) - 1)/((sqrt(x) +1)(sqrt(x) - 1)) - (sqrt(x) + 1)/((sqrt(x) - 1)(sqrt(x) + 1)) ] .(x-1)/(2sqrt(x) + 1)`
`P = (sqrt(x) - 1 - sqrt(x) - 1)/((sqrt(x) + 1)(sqrt(x) - 1)) . (x - 1)/(2sqrt(x) + 1)`
`P = -2/(x - 1).(x-1)/(2sqrt(x) + 1)`
`P = -2/(2sqrt(x) + 1)`
b)
Để `P <= -1`
`=> -2/(2sqrt(x) + 1) <= -1`
`=> 2/(2sqrt(x) + 1) >= 1`
`=> 2/(2sqrt(x) + 1) - 1 >= 0`
`=> 2/(2sqrt(x) + 1) - (2sqrt(x) +1 )/(2sqrt(x) + 1) >= 0`
`=> (2 - 2sqrt(x) - 1)/(2sqrt(x) + 1) >= 0`
`=> (1-2sqrt(x) )/(2sqrt(x) + 1) >= 0`
Vì `2sqrt(x) + 1 >= 1 > 0 AA x >= 0`
`=> 1 - 2sqrt(x) >= 0`
`=> -2sqrt(x) >= -1`
`=> sqrt(x) <= 1/2`
`=> x <= 1/4`
Kết hợp với điều kiện
`=> 0 <= x <= 1/4`
Hãy giúp mọi người biết câu trả lời này thế nào?
![]()
Bảng tin
92
1676
51
ơ câu b) mẫu dương thì tử âm chớ bạn:)
4200
1937
2778
Ò mik wen:>
92
1676
51
._. Vậy sửa từ đó xuống i
4200
1937
2778
Um:Đ
4200
1937
2778
Sửa hết cả câu b lun:>
4200
1937
2778
`b) P<=-1` `-2/(2sqrt{x}+1)<=-1` `2/(2sqrt{x}+1)>=1` `2/(2sqrt{x}+1)- 1>=0` `(2-2sqrt{x}-1)/(2sqrt{x}+1)>=0` `(1-2sqrt{x})/(2sqrt{x}+1)>=0` Do `2sqrt{x}+1>=1>0AAx>=0` `1-2sqrt{x}>=0` `-2sqrt{x}<=-1` `sqrt{x}<=1/2` `x<=1/4` Vậy `0<=x<=1/4` thì `P<=-1`
4200
1937
2778
`x ne 1`