

Hãy luôn nhớ cảm ơn và vote 5*
nếu câu trả lời hữu ích nhé!
Đáp án:
Giải thích các bước giải:
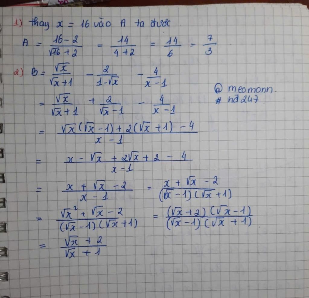
1)
* Thay `x = 16` vào `A` ta đc :
` A = (16 - 2)/(\sqrt{16} + 2) `
` A = 14/(4 + 2) `
` A = 14/6 `
` A = 7/3 `
Vậy với `x = 16` thì `A = 7/3`
``
`2)`
` B = (\sqrt{x})/(\sqrt{x} + 1) - 2/(1 - \sqrt{x}) - 4\(x - 1) `
` B = (\sqrt{x})/(\sqrt{x} + 1) + 2/(\sqrt{x} - 1) - 4/((\sqrt{x} - 1) (\sqrt{x} - 1)) `
` B =(\sqrt{x} . ( \sqrt{x} - 1))/((\sqrt{x} - 1) ( \sqrt{x} + 1 )) + (2 . (\sqrt{x} + 1))/(\sqrt{x} - 1) (\sqrt{x} - 1) - 4/((sqrt{x} - 1) ( \sqrt{x} - 1))`
` B = (x - \sqrt{x})/((\sqrt{x} - 1 )(\sqrt{x} + 1)) + (2\sqrt{x} + 2)/((\sqrt{x} - 1)( \sqrt{x} + 1)) - 4/((\sqrt{x} - 1)(\sqrt{x} - 1))`
` B = (x - \sqrt{x} + 2\sqrt{x} + 2 - 4)/((\sqrt{x} - 1)(\sqrt{x} + 1)) `
` B = (x + \sqrt{x} + 2)/((sqrt{x} - 1)(\sqrt{x} + 1)) `
` B = ((\sqrt{x} + 2) (\sqrt{x} - 1))/((\sqrt{x} - 1) (\sqrt{x} + 1)) `
` B = (\sqrt{x} + 2)/(\sqrt{x} + 1) `
vậy ` B = (\sqrt{x} + 2)/(\sqrt{x} + 1)`
Hãy giúp mọi người biết câu trả lời này thế nào?
Bảng tin
2034
17118
2206
còn rút gọn đc nx nha