

Hãy luôn nhớ cảm ơn và vote 5*
nếu câu trả lời hữu ích nhé!
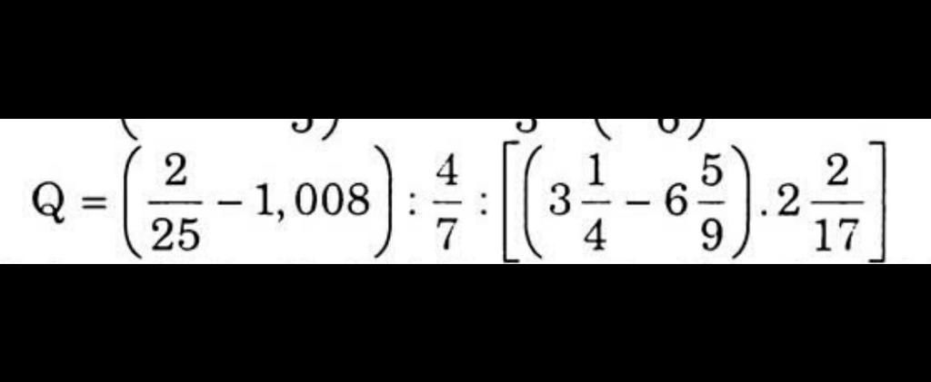
Đáp án`+`Giải thích các bước giải:
`Q=(2/25-1,008):4/7:[(3 1/4-6 5/9)*2 2/17]`
`Q=(2/25-126/125):4/7:[(13/4-59/9)*36/17]`
`Q=(2/25-126/125):4/7:[-119/36*36/17]`
`Q=(2/25-126/125):4/7:(-7)`
`Q=-116/125:4/7:(-7)`
`Q=-203/125:(-7)`
`Q=29/125`
Vậy `Q=29/125`
Hãy giúp mọi người biết câu trả lời này thế nào?

Đáp án:
Giải thích các bước giải:
` Q = ( 2/25 - 1,008 ) : 4/7 : [ ( 3 1/4 - 6 5/9 ) . 2 2/17 ] `
` Q = ( 0,08 - 1,008 ) : 4/7 : [ ( 13/4 - 59/9 ) . 36/17 ] `
` Q = - 116/125 . 7/4 : ( - 119/36 . 36/17 ) `
` Q = - 203/125 . ( - 1/7 ) `
` Q = 203/875 `
` Q = 29/125 `
Vậy `Q = 29/125 `
Hãy giúp mọi người biết câu trả lời này thế nào?

Bảng tin