

Giúp mình bài này với
Hãy luôn nhớ cảm ơn và vote 5*
nếu câu trả lời hữu ích nhé!
Đây là câu trả lời đã được xác thực
Câu trả lời được xác thực chứa thông tin chính xác và đáng tin cậy, được xác nhận hoặc trả lời bởi các chuyên gia, giáo viên hàng đầu của chúng tôi.
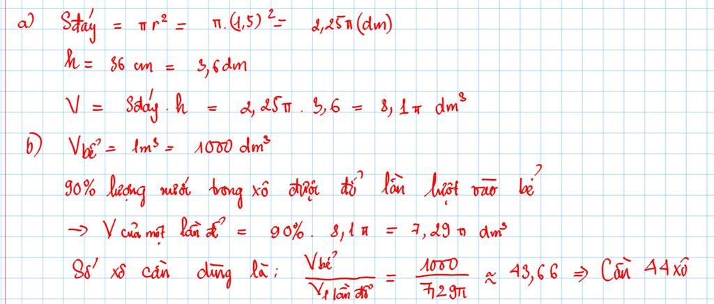
`a) h = 36 (cm) = 3,6 (dm)`
`r = d/2 = 3/2 = 1,5 (dm)`
Thể tích:
`V = \pi r^2 h = \pi . 3,6 . 1,5^2 = 8,1 \pi ~~ 25,43 (dm^3)`
Thể tích nước dùng mỗi thùng:
`V' = 25,434 . 90% ~~ 22,9 (dm^3)`
Số thùng cần dùng:
`1000 : 22,9 ~~ 43,6`
`->` Vậy cần dùng `44` thùng nước để hoàn thành công việc.
Hãy giúp mọi người biết câu trả lời này thế nào?

Bảng tin
2361
10521
1540
Háp pi xác thực
3330
14099
2261
2 caia lận nhok
2361
10521
1540
... m đút lót admin bao nhiu, khai mau
3330
14099
2261
= giá t book m đào thoi :)
599
99
365
? xth
3330
14099
2261
0 phai cau nay
599
99
365
ga ma co xth