Đăng nhập để hỏi chi tiết


Hãy luôn nhớ cảm ơn và vote 5*
nếu câu trả lời hữu ích nhé!
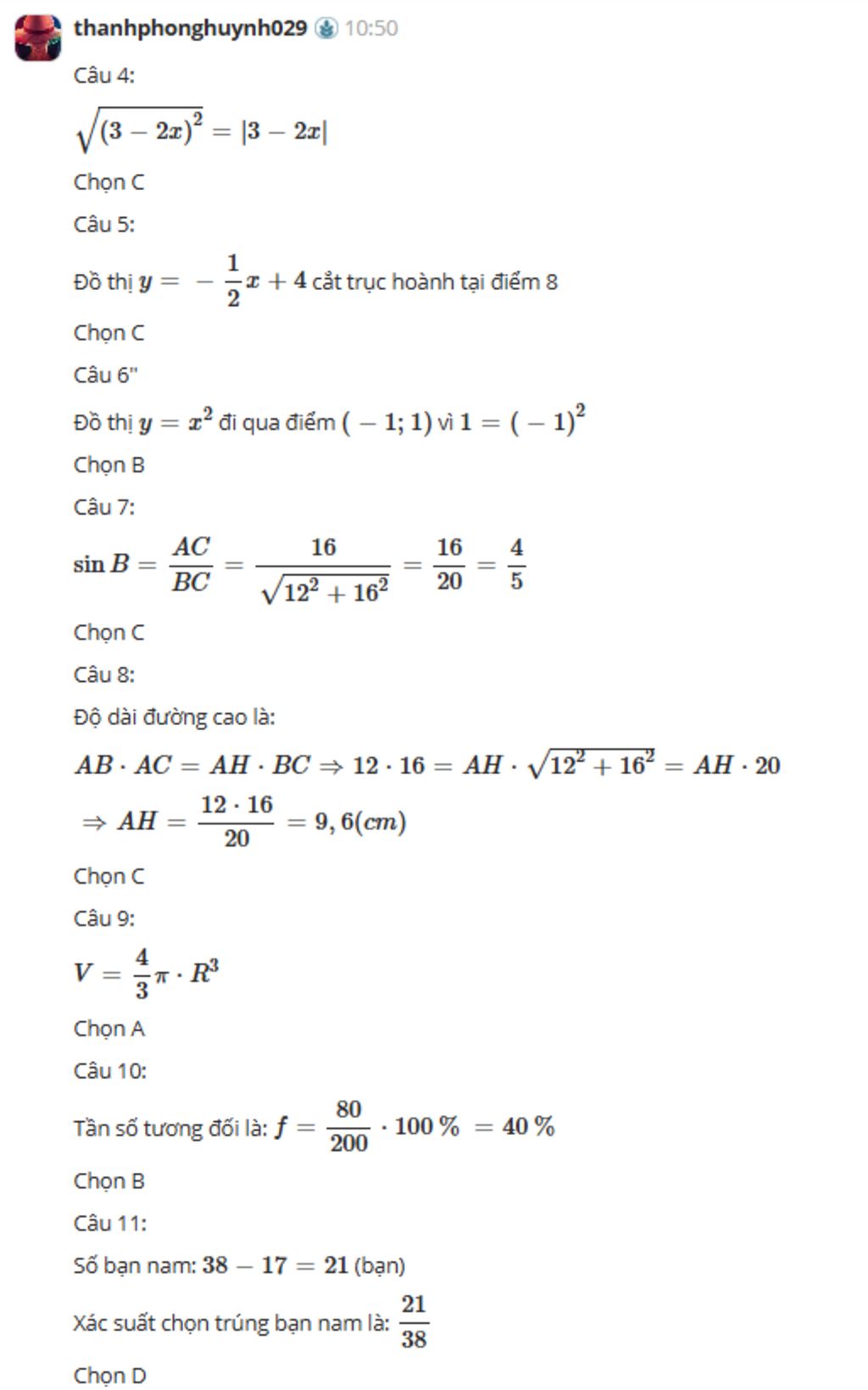
Câu 4 đến 11 mình làm rồi trong ảnh nhé
Câu 12:
Các kết quả cho ra tích là số lẻ là:
`(1;3);(3;1);(1;1);(3;3)`
Mà tổng số kết quả là: `4*4=16`
Xác suất là: `4/16=1/4`
Hãy giúp mọi người biết câu trả lời này thế nào?
Bảng tin