

Hãy luôn nhớ cảm ơn và vote 5*
nếu câu trả lời hữu ích nhé!
Đáp án+Giải thích các bước giải:
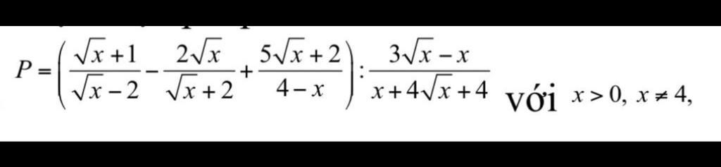
`P=(\frac{\sqrt{x}+1}{\sqrt{x}-2}-\frac{2\sqrt{x}}{\sqrt{x}+2}+\frac{5\sqrt{x}+2}{4-x}):\frac{3\sqrt{x}-x}{x+4\sqrt{x}+4}`
`(đk:x>0;x\ne4)`
`=[\frac{(\sqrt{x}+1).(\sqrt{x}+2)}{(\sqrt{x}-2).(\sqrt{x}+2)}-\frac{2\sqrt{x}.(\sqrt{x}-2)}{(\sqrt{x}-2).(\sqrt{x}+2)}-\frac{5\sqrt{x}+2}{(\sqrt{x}-2).(\sqrt{x}+2)}].[\frac{(\sqrt{x})^{2}+2.\sqrt{x}.2+2^{2}}{3\sqrt[x}-x}]`
`=[\frac{x+2\sqrt{x}+\sqrt{x}+2-2x+4\sqrt{x}-5\sqrt{x}-2}{(\sqrt{x}-2).(\sqrt{x}+2)}].[\frac{(\sqrt{x}+2)^{2}}{3\sqrt{x}-x}]`
`=\frac{(-x+2\sqrt{x}).(\sqrt{x}+2)^{2}}{(\sqrt{x}-2).(\sqrt{x}+2).(3\sqrt[x}-x)}`
`=\frac{-\sqrt{x}.(\sqrt{x}-2).(\sqrt{x}+2)}{(\sqrt{x}-2).\sqrt{x}.(3-\sqrt{x})}`
`=\frac{-1.(\sqrt{x}+2)}{3-\sqrt{x}}`
`=\frac{\sqrt{x}+2}{\sqrt{x}-3}`
Vậy `P=\frac{\sqrt{x}+2}{\sqrt{x}-3}` với `x>0;x\ne4.`
Hãy giúp mọi người biết câu trả lời này thế nào?
Bảng tin
1261
14
952
qs tr r, 2 mod n :)
26207
326543
17503
hả:))