Vui lòng chỉ chọn một câu hỏi
Hoidap247.com Nhanh chóng, chính xác
+
Danh mục mới
0
2
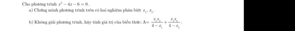
Ai giúp em với en cảm ơn nhiều ạ
Hãy luôn nhớ cảm ơn và vote 5* nếu câu trả lời hữu ích nhé!
4189
1837
2774
`\bbcolor{skyblue}{♡Thanhh Thuyy♡}`
Hãy giúp mọi người biết câu trả lời này thế nào?
Xem thêm:
210
2036
175
$dangthithaiha539$
bổ sung: x1;x2 ≠ 4
Bảng tin
Gửi yêu cầu Hủy