

Hãy luôn nhớ cảm ơn và vote 5*
nếu câu trả lời hữu ích nhé!
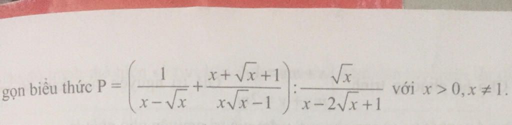
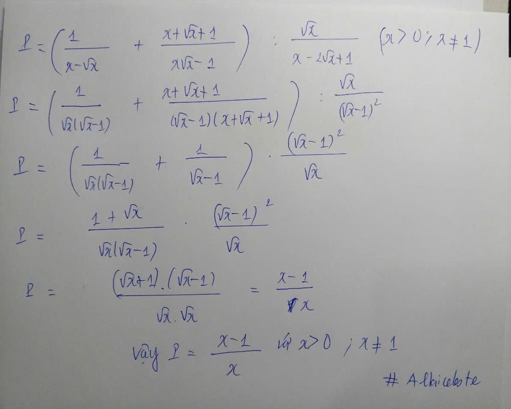
`P=((1)/(x-\sqrt{x})+(x+\sqrt{x}+1)/(x\sqrt{x}-1)):(\sqrt{x})/(x-2\sqrt{x}+1) (0<x!=1)`
`=[(1)/(\sqrt{x}(\sqrt{x}-1))+(x+\sqrt{x}+1)/((\sqrt{x}-1)(x+\sqrt{x}+1))]:(\sqrt{x})/((\sqrt{x}-1)^2)`
`=[(1)/(\sqrt{x}(\sqrt{x}-1))+(1)/(\sqrt{x}-1)].((\sqrt{x}-1)^2)/(\sqrt{x})`
`=(1+\sqrt{x})/(\sqrt{x}(\sqrt{x}-1)).((\sqrt{x}-1)^2)/(\sqrt{x})`
`=((\sqrt{x}+1)(\sqrt{x}-1))/(x)`
`=(x-1)/(x)`
Vậy `P=(x-1)/(x)` khi `0<x!=1`
Hãy giúp mọi người biết câu trả lời này thế nào?
Bảng tin